FOC数学基础-投影、矩阵计算
推荐FOC技术贴:https://zhuanlan.zhihu.com/p/416224632
已知三相电幅值相等、相位互差120°,以a相电流为基做极坐标系。

然后作α、β直角坐标系,定子坐标系。

最后是q、d直角坐标系,转子坐标系。





推荐FOC技术贴:https://zhuanlan.zhihu.com/p/416224632
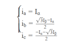
已知三相电幅值相等、相位互差120°,以a相电流为基做极坐标系。

然后作α、β直角坐标系,定子坐标系。

最后是q、d直角坐标系,转子坐标系。




