games101阶段性总结⑥(坑)
材质与外观
外观是由材质与光线共同作用的结果
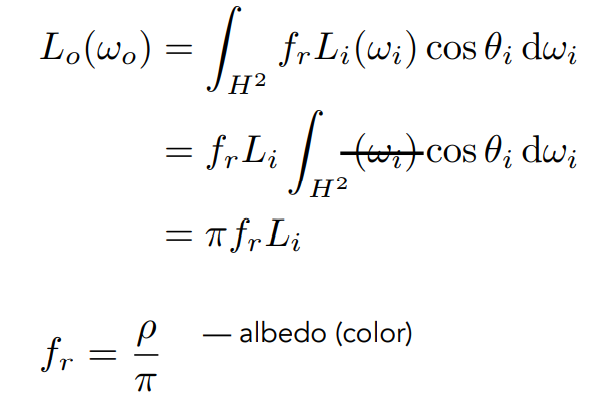
漫反射(diffuse)只考虑完全反射时,物体不吸收光,也没有自发光,此时渲染方程中,那么出射的radiance就等于入射radiance

此时的BRDF就等于反射率除以π
在Unity中,利用光的可逆性得出入射方向,在用reflect函数可以得到所有入射方向
折射——斯涅尔定律(Snell's Law)

当入射空间折射率n1大于出射空间折射率n2时,我们就说这个物体不会发生折射,也就是说只会发生反射的性质
在Unity中,用Refract函数即可模拟折射
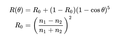
菲涅尔反射(Fresnel reflection)
当我们垂直看向河水时,我们可以清晰的看见河水里的物体,当我们视角与河水几乎平行时,无法看见河水里的物体,只能看到由表面的反射
在模拟中,我们用Schlick菲涅尔近似等式

微表面模型与材质
近处看时时几何,远处看到时是光滑的材质,具体看法线的疏密程度
各向同性材质(Isotropic)和各向异性材质(Anisotropic)
看法线贴图是否均匀、有规律,这会导致我们一切与法线有关的计算出现本来没有的特性,如高光,一般是只有一个原点,但是现在却会形成一条线

最后根据方位角的不同,也可以得出不同材质特性
BDPT 双向路径追踪
一个是Camera出去的路径,一个为光源的路径,解决当我们路径追踪时,最终没有打向光源的情况
Metropolis光线传播(MLT)
Photon Mapping光子射线
处理SDS(折射——反射——折射)的现象
有偏渲染——模糊
一致——只要样本多,最后不会模糊
VCM,将BDPT与Photon Mapping结合起来的渲染
IR 很多光源影响的渲染,无法渲染Gloss材质
非表面材质:
散射材质:光线有两种结果,一是被吸收,二是被散射,根据相位函数(Phase Function),如雪花的形成

头发:
Kajiya——Kay Model发展成Marschner Model到Double Cylinder Model
思想是从头发构造了解,将头发理解为圆柱体,光线打进圆柱会发生反射,也会发生折射再折射,也会发生折射反射再折射,后来研究发现,头发里还含有一层类似与散射介质一般的层,那么就得再加入一次散射折射出去得,反射散射折射出去的
Granular Material颗粒材质
根据程序选择
表面材质:
次表面散射:BSSRDF

类似两光源影响

布料材质
BRDF方法
把空间细划分网格方法
作为纤维渲染方法
噪声:有先自己定义然后根据程序去选择,也有程序化生成的Houdini

浙公网安备 33010602011771号