图像处理评价指标之模糊度、清晰度
图像处理评价指标之模糊度
图像和视频在采集、压缩、传输、存储过程中,无可避免地会引入失真。模糊失真是图像、视频质量下降最主要的因素之一,研究图像模糊度评价方法有非常重要的意义。通过对模糊失真进行评测和度量,可以对整个图像传输或处理系统的质量进行监控,进而采取措施提高系统性能
模糊度和清晰度概念
图像模糊是一种很重要的图像降质因素,在图像获取、传输、处理过程中都有很多因素可能造成图像模糊,比如在获取图像时,不正确的聚焦会产生离焦模糊,景物和照相机的相对运动会造成运动模糊,图像压缩后的高频丢失造成的模糊。模糊降低了图像的清晰度,严重影响图像质量,导致图像分析、处理、接收的困难甚至失败,因此必须要使用有效的模糊评价方法来控制模糊图像的使用,
从而提高系统整体性能。
模糊度和清晰度是描述图像清晰程度(模糊程度)的两个相对但又相互联系的两个概念。图像越清晰,质量越高,清晰度越大,模糊度越小;图像越不清晰(越模糊),质量越低,清晰度越小,模糊度越大。因此描述一幅图像清晰程度时,既可以使用清晰度也可以使用模糊度,只是两个指标数值上成反比;本文采用模图像模糊度评价研究模糊度来描述。
客观评价也可以根据对参考图像的依赖程度分为:全参考图像模糊度评价(Full Reference Image Blur Assessment,FR-IBA)、部分参考图像模糊度评价(Reduced Reference Image Blur Assessment,RR-IBA)、无参考图像模糊度评价(No Reference Image Blur Assessment,NR-IBA)。客观模糊度评价的方法也可以参考客观图像质量评价的方法,但由于只关注模糊度一个指标,在算法设计时更有针对性,应该把重点放在模糊特征参量的提取上。
模糊度评价算法可以分成几个较大的类别,(1)基于像素的技术,包括分析像素灰度值的统计特性以及像素之间的相关性;(2)基于变换域的技术,这利用了在变换域高频成分越多图像越清晰,高频成分越少图像越模糊的原理;(3)基于图像梯度的技术,它利用图像边缘的梯度来衡量图像模糊程度,梯度越大图像越清晰。另外,也有较少的算法是基于直方图。
模糊度分类
实际应用中有多种模糊情况,模糊产生的原因很多,一般用下面通用的数学模型来表示图像模糊降质
g ( x , y ) = f ( x , y ) ⊗ d ( x , y ) + n ( x , y ) g(x, y) = f(x, y) \otimes d(x, y) + n(x, y) g(x,y)=f(x,y)⊗d(x,y)+n(x,y)
式中 f ( x , y ) f (x, y) f(x,y)是原始图像, d ( x , y ) d(x, y) d(x,y)是点扩散函数(Point Spread Function,PSF), ⊗ \otimes ⊗ 是卷积,$n(x, y) $是加性噪声。
1、运动模糊
运动模糊是在捕获图像时,快门在打开时间内成像系统和拍摄
对象的短暂相对运动,造成成像在某个方向上形成的模糊。
假设图像 f ( x , y ) f (x, y) f(x,y) 在一个平面运动,令$x_0(t) 、 、 、y_0(t) 分 别 是 分别是 分别是x$ 和 y y y 方向上运动的变化分量, T T T 表示曝光时间,那么模糊后的图像可以看作是在快门开启时间内原始图像在 x x x 、 y y y 方向上的积分:
g ( x , y ) = ∫ 0 T f [ x − x 0 ( t ) , y − y 0 ( t ) ] d t g(x,y)=\int_0^T f[x-x_0(t) , y - y_0(t)] dt g(x,y)=∫0Tf[x−x0(t),y−y0(t)]dt
2、压缩模糊
压缩模糊是图像在进行有损压缩丢失部分信息。
3、高斯模糊
高斯模糊是人为引入的一种模糊,使用高斯低通滤波器对原始图像进行滤波得到的。它的点扩散函数可以表示为
d ( x , y ) = 1 2 π σ 2 ∗ e − ( x 2 + y 2 ) 2 σ 2 d(x,y) = \frac{1}{2 \pi\sigma^2 }* e^ {- \frac{(x^2 +y^2)} {2 \sigma^2 }} d(x,y)=2πσ21∗e−2σ2(x2+y2)
模糊度计算方法
模糊度的计算可以广泛应用到相机自动聚焦、显微镜自动聚焦、电子显微镜自动聚焦等场景。
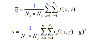
1、灰度方差算法
图像最清晰,图像中的高频分量也最多,该算法以图像所有像素的灰度平均值为参考,对每个像素点的灰度值求差后求平方和,然后用像素总数标准化,它表征了图像灰度变化的平均程度,灰度变化的平均程度越大,图像越清晰,灰度变化平均程度越小,图像越模糊。
2、灰度差分绝对值之和方差算法
x方向,Y方向图像差分绝对值的和作为度量标准:
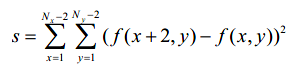
3、灰度差分平方和方差算法
x方向,Y方向图像差分平方值的和作为度量标准,突出微分值的影响,提高信噪比数值:
4、Brenner 函数
简单的计算相邻两个像素灰度差的平方,该函数定义如下:
5、Roberts 梯度和
定义为相邻四个像素对角线像素灰度值差的绝对值之和:
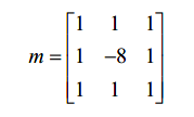
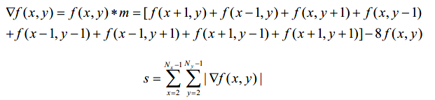
6、拉普拉斯梯度和1
用拉普拉斯模板得到像素拉普拉斯梯度值,求所有像素拉普拉斯梯度值的和:
拉普拉斯模板:
7、拉普拉斯梯度和2
用拉普拉斯模板得到像素拉普拉斯梯度值,求所有像素拉普拉斯梯度值的和:
拉普拉斯模板:
7、Tenengrad函数
梯度函数采用Sobel算子分别提取水平和垂直方向的梯度值
模板算子:
卷积结果
模糊度数值:
参考:
1、《图像模糊度评价研究》

浙公网安备 33010602011771号