[LangGraph] 时间旅行
所谓时间旅行(时间回溯),指的就是可以从先前的检查点恢复执行。
这个特性核心就是利用 checkpoint 来实现的。
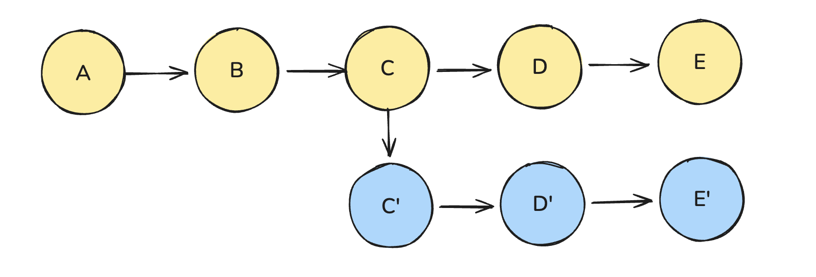
如下图所示:
假设我们执行一张图,要经历 A -> B -> C -> D -> E
在执行 C 节点的时候,状态还可以有 C' 的可能性,但是又不想从头开始执行整张图,因为 A 和 B 是没有变化的。这个时候就可以利用 checkpoint 的特性,只回到 C 节点,然后修改 C 节点的状态,然后再继续执行下去。
另外需要注意的是:无论是重放相同的状态,还是修改状态以探索其他可能路径。在所有情况下,从过去的某个执行点恢复都会在历史中生成一个新的分支。
时间旅行操作步骤
- 使用初始输入运行图:通过
invoke或stream方法运行图。 - 定位现有线程中的检查点:使用
getStateHistory方法,传入指定的thread_id,获取该线程的执行历史,并找到目标的checkpoint_id。 - 更新图的状态(可选):使用
updateState方法,在指定检查点修改图的状态,以便从不同的状态继续执行,探索其他路径。 - 从检查点恢复执行:使用
invoke或stream方法,传入null作为输入,并在配置中指定合适的thread_id和checkpoint_id,即可从该检查点恢复执行。
实战案例
- 大模型随机生成一个主题,然后根据该主题生成一个笑话
- 利用时间旅行,回到生成主题的节点,询问用户该主题是否合适
- 用户可以修改主题,之后根据新的主题生成新的笑话
flowchart TD
A[START] --> B[checkpoint-1<br/>Graph 启动]
B --> C[checkpoint-2<br/>generateTopic 执行完成<br/>topic = 程序员]
%% 原始时间线
C --> D[checkpoint-3<br/>writeJoke 执行完成<br/>joke = 程序员笑话]
%% 时间旅行分支
C --> E[checkpoint-4<br/>updateState<br/>topic = 猫]
E --> F[checkpoint-5<br/>writeJoke 执行完成<br/>joke = 猫笑话]
%% 样式
classDef original fill:#E3F2FD,stroke:#1E88E5,stroke-width:1px;
classDef branch fill:#FFF3E0,stroke:#FB8C00,stroke-width:1px;
class B,C,D original;
class E,F branch;
Code:
import "dotenv/config";
import { ChatOpenAI } from "@langchain/openai";
import { MemorySaver, StateGraph, START, END } from "@langchain/langgraph";
import { z } from "zod/v4";
import readline from "readline-sync";
const Schema = z.object({
topic: z.string().optional().describe("笑话的主题"),
joke: z.string().optional().describe("生成的笑话的内容"),
});
type TState = z.infer<typeof Schema>;
// checkpoint类型
type CheckpointState = {
values: TState;
next: string[];
config: {
configurable?: {
checkpoint_id?: string;
thread_id?: string;
};
};
};
const checkpointer = new MemorySaver();
const model = new ChatOpenAI({
model: "gpt-4.1-nano",
temperature: 0.5,
});
// 节点1: 生成主题
async function generateTopic(): Promise<Partial<TState>> {
console.log("正在运行节点1:生成一个主题");
const res = await model.invoke(
"请给我一个有趣的笑话主题,只返回一个简短的中文词汇,不要有任何标点或其他文字。",
);
return {
topic: res.content as string,
};
}
// 节点2: 根据主题生成笑话
async function writeJoke(state: TState): Promise<Partial<TState>> {
console.log("正在运行节点2:根据主题生成笑话");
if (!state.topic) throw new Error("没有笑话主题,无法生成笑话");
const res = await model.invoke(
`请根据这个主题写一个简短的中文笑话: ${state.topic}`,
);
return {
joke: res.content as string,
};
}
// 构建图
const graph = new StateGraph(Schema)
.addNode("generateTopic", generateTopic)
.addNode("writeJoke", writeJoke)
.addEdge(START, "generateTopic")
.addEdge("generateTopic", "writeJoke")
.addEdge("writeJoke", END)
.compile({
checkpointer,
});
async function main() {
// 定义一下配置 thread_id
const config = {
configurable: {
thread_id: "demo" + Date.now(),
},
};
console.log("\n=================================");
console.log("🚀 开始运行时间旅行");
console.log("=================================\n");
console.log(`Thread ID: ${config.configurable.thread_id}\n`);
// 1. 完整运行一次图
console.log(">>> 第一次运行 (生成主题 -> 生成笑话)...");
const result = await graph.invoke({}, config);
console.log("result>>>", result);
// 2. 获取检查点历史
const history: CheckpointState[] = [];
for await (const cp of graph.getStateHistory(config)) {
history.push(cp);
}
// 3. 需要从检查点历史里面找到回溯点
const targetCheckpoint = history.find(
(c) => Array.isArray(c.next) && c.next.includes("writeJoke"),
);
if (!targetCheckpoint) throw new Error("没有找到回溯的checkpoint");
const currentTopic = targetCheckpoint.values.topic;
// 4. 告知用户当前的主题是什么,并且询问是否需要改变
console.log("\n---------------------------------");
console.log("👀 历史回溯点检测");
console.log("---------------------------------");
console.log(`在生成笑话之前,AI 确定的主题是: "${currentTopic}"`);
console.log("\n您现在有机会进行「时间旅行」!");
console.log("1. ⏳ 保持现状 (继续生成原主题的笑话)");
console.log("2. ⏱️ 修改过去 (修改主题,让 AI 重新生成笑话)");
const choice = readline.question("\n请输入您的选择 (1 或 2):");
if (choice.trim() === "2") {
// 要修改主题
const newTopic = readline.question(
"请输入新的主题 (例如: 猫, 程序员, 披萨): ",
);
console.log(`\n🔄 正在执行时间旅行... 将主题修改为: "${newTopic}"`);
// 关键的一步:需要修改图的状态
const newConfig = await graph.updateState(targetCheckpoint.config, {
topic: newTopic,
});
console.log("✅ 状态已修改,正在从修改点继续执行 Graph...");
const result = await graph.invoke(null, newConfig);
console.log("\n=================================");
console.log("🎉 时间旅行成功!最终结果:");
console.log("=================================");
console.log(`最终主题: ${result.topic}`);
console.log(`生成的笑话: ${result.joke}`);
} else {
// 不修改主题,拿到最后一个检查点的状态
const finalState = await graph.getState(config);
console.log("\n=================================");
console.log("✅ 流程结束 (未修改)");
console.log("=================================");
console.log(`最终主题: ${finalState.values.topic}`);
console.log(`生成的笑话: ${finalState.values.joke}`);
}
}
main();

浙公网安备 33010602011771号