我的github

管道流动除了沿程损失,还有局部水头损失。

例如管道突然收窄,或者转弯。

确定局部损失的理论方法

以截面突然扩大的圆截面管道为例:

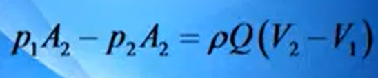
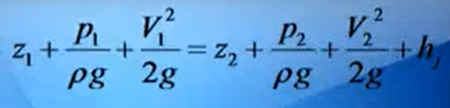
取截面1和截面2,列伯努利方程、动量方程和连续性方程:

解得:

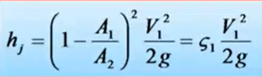
又因为V1A1=V2A2,可得:

……局部损失系数

如果是水平弯管

通过压差计,可以测得弯管的局部损失。

同样,列伯努利方程。求得损失系数。

对于有压管流:

求:(1)流经虹吸管的流量;(2)如虹吸管顶部B点安装高度h=4.5m,计算其压强。

posted on 2025-03-09 17:42  XiaoNiuFeiTian  阅读(38)  评论(0)    收藏  举报