hf和速度的关系
(4) 水力光滑到水力粗糙的过渡区(IV)

λ与Re和Δ都有关。
柯列勃洛克公式:

(5) 水力粗糙区(V)

λ与Re无关,hf与V2成正比。
尼古拉兹公式:


莫迪针对工业管道所整理的曲线(雷诺数Re-损失系数λ)
例:用d= 200 mm,l= 3000 m, Δ=0.2mm的管道,输送ρ=850kg/m3石油,冬季ν=1.092x10-4 m2/s,夏季ν=0.355x10-4 m2/s。为了保证Q= 27.8x10-3 m3/s的输送流量,需要多大的进出口压强差?
答:根据流量求平均速度V。再根据平均速度V求雷诺数Re。再根据Re求损失系数λ。
冬季和夏季的损失系数是不一样的。
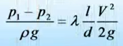
设进出口截面压强分别为P1和P2,由伯努利方程知

冬季是层流。
夏季是湍流。
浙公网安备 33010602011771号