湍流核心区

做积分

无量纲形式的话

湍流核心区的边界条件:在湍流核心区和粘性底层交界处,速度应该是相同的。即,y=Δ

从而解得:

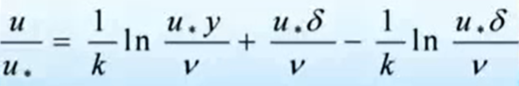
将C代入上式,可得:

k--卡门常数
由实验得k= 0.4, B= 5.5



(3) 水力光滑管的沿程阻力系数

由于粘性底层的流量很小,只在湍流核心区积分。

代入雷诺数公式:

可得:

针对水中的一段流体团:

列力平衡方程:


当r=d/2:τ=τw

接下来求沿程损失系数:
——针对两个横截面,列:伯努利方程(总流)
——到目前为止,都和层流一样。。
但是,Δp的公式有区别:

可得:

又由:

代入上式,可得:

又由于平均速度有:

得:

根据实验数据对系数进行修正后,得到Re = 5*104~3*106

被称为普朗特-施里希廷公式。
由于它是入的隐式公式,使用并不方便。
运用量纲分析方法和实验数据,Re=3*103~105

被称为布拉修斯公式。
(4)水力粗糙管的沿程阻力系数
根据大量的实验结果整理出:
速度分布:

平均速度:

损失系数:

实验修正后的沿程损失系数:

浙公网安备 33010602011771号