用python进行数据分析(3)——误方差齐性检验
众所周知,ols线性回归模型有一些基本假定。对残差e有以下性质
- E(e) = 0 ;Var(e) = σ2(I-H)
![]()
- 要服从正态分布
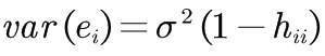
且第i 个残差的方差为:
![]()
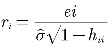
称:
![]()
为标准化残差
如果画出残差图发现残差有问题就需要改进模型
误方差齐性诊断的方法:
如果在每个实验条件下进行重复试验,可采用:Ho = σ12 = σ22······
- Hartley 检验

2. Cochran检验

这两个检验都要求每个试验条件下试验相同次数
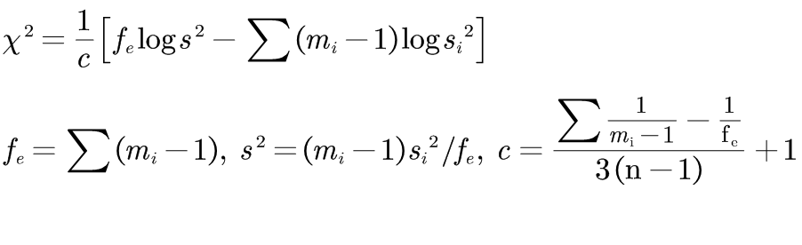
3. Barlett 检验


浙公网安备 33010602011771号