用python进行统计分析(2)
- 其他描述性统计量
-
#方差 np.var(df["wt"]) #标准差 np.std(df["wt"]) #众数 stats.mode(df["wt"]) #偏度 stats.skew(df["wt"]) #峰度 stats.kurtosis(df["wt"]) #正态分布假设下 se = np.std(df["wt"])/np.sqrt(len(df["wt"])) se np.mean(df["wt"]) - 1.96*se np.mean(df["wt"]) + 1.96*se
-
统计学检验
- 正态性检验
- 夏皮洛-威尔克(S-W)检验
stats.shapiro(df["wt"])
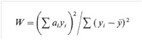
该检验用于检验一个随机样本数据是否来自正态分布(实际运用中可配合分布图使用)检验量为:
,返回检验量的值和p值- y是样本值,ai是最小二乘估计出的系数
- 该检验适用于样本量不太大的数据
- K-S检验
- 适用于大样本的正态性检验(>50),通过比较两样本的频率分布、或者一个样本的频率分布与特定理论分布(如正态分布)之间的差异大小来推论两个分布是否来自同一分布。
from scipy import stats # 检验单样本是否服从正态分布 test = kstest(x,"norm") # x 是样本 # 检验两个样本是否服从相同分布 from scipy import ks_2samp ks_2samp(x,y)
- 适用于大样本的正态性检验(>50),通过比较两样本的频率分布、或者一个样本的频率分布与特定理论分布(如正态分布)之间的差异大小来推论两个分布是否来自同一分布。
- 夏皮洛-威尔克(S-W)检验
- 正态性检验

浙公网安备 33010602011771号