数学知识(数论二)
文章目录
数论(二)
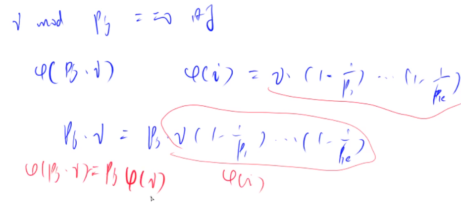
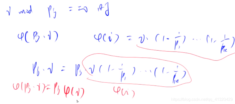
欧拉函数


容斥原理:求1~n中与n互质的数,需要将n的质因子的倍数全部删除
如果多删要加回来,有下面的公式:
等同于上面的φ(n);

欧拉函数最坏情况下的大小为N^2
873欧拉函数
#include<iostream>
#include <algorithm>
#include<cstring>
using namespace std ;
const int N=2*1e9+10;
int n;
int main(){
cin>>n;
while(n--){
int a;
cin>>a;
int res=a;
for(int i=2;i<=a/i;i++){
if(a%i==0)
{
while(a%i==0)a=a/i;
res=res/i*(i-1); //这里先除以i再乘i-1防止数据溢出
}
}
if(a>1)res=res/a*(a-1);
cout<<res<<endl;
}
}
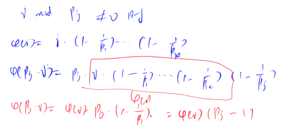
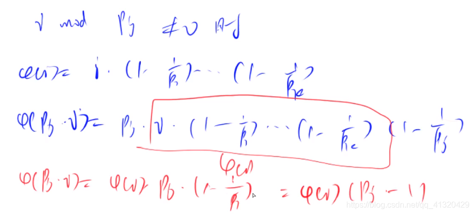
874筛法求欧拉函数
采用线性筛法,在筛选过程中求每一个数的欧拉函数,时间复杂度降低为n,如果对每一个数分解质因数,复杂度会上升到nsqrt(n)

思路:线性筛法:
遍历i=2~n (1的欧拉函数是1)
如果遍历到的i是质数,那么euler[i]=i-1,并把i加入pj
对于每一个i,遍历pj,筛掉所有的pj*i
并且如果
- i%pj==0 那么euler[pj *i]=pj *euler[i]
- i%pj!=0 那么euler[pj *i]=(pj-1) *euler[i]
详细证明如下图


#include<iostream>
#include<algorithm>
using namespace std;
const int N=1e6+10;
typedef long long LL;
int n,cnt;
bool st[N]; //状态st
int euler[N]; //欧拉函数
int primes[N]; //质数数组
LL get_euler(int n){
LL res=0;
euler[1]=1; //1的欧拉函数是1
for(int i=2;i<=n;i++){
if(!st[i]){
primes[cnt++]=i;
euler[i]=i-1; //i是质数,它对应的欧拉函数是i-1
}
//遍历所有质数,并对1~n中合数求欧拉函数
for(int j=0;primes[j]*i<=n;j++){
st[primes[j]*i]=true;
if(i%primes[j]==0){
euler[primes[j]*i]=primes[j]*euler[i]; //pj是i的最小质因数,此时φ(pj*i)=pj*φ(i);
break;
}
else euler[primes[j]*i]=(primes[j]-1)*euler[i]; //如果不是,公式φ(pj*i)=(pj-1)*φ(i)
}
}
for(int i=1;i<=n;i++){
res+=euler[i];
}
return res;
}
int main(){
cin>>n;
cout<<get_euler(n);
return 0;
}
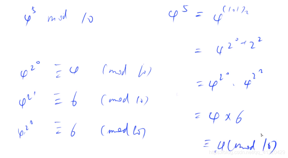
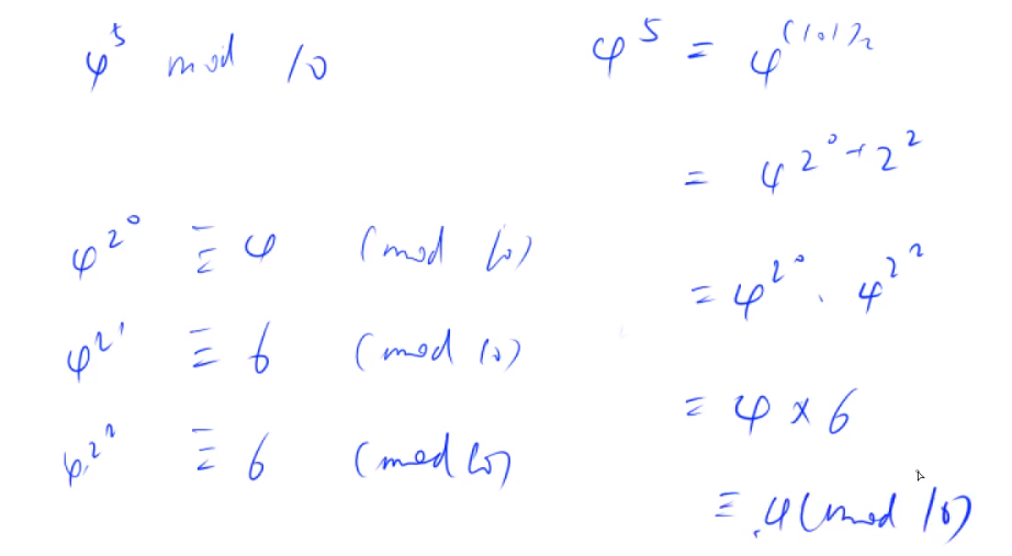
快速幂
快速的求出a^k mod p的值
1<=a,k,p<=1e9+10
- 正常循环求复杂度为
O(k)- 时间复杂度降为
k转化成二进制后的位数O(logk)
思路:- 首先把k拆成2进制表示的形式
- 预处理出所有的值
- 最后ak 用这些数的乘积再mod p表示如图所示:
其中预处理数耗时logk 最后乘出ak 耗时logk 时间复杂度为logk

举例说明:

预处理过程:
每一个数都是前一个数的平方mod p
- 即已知
- 求

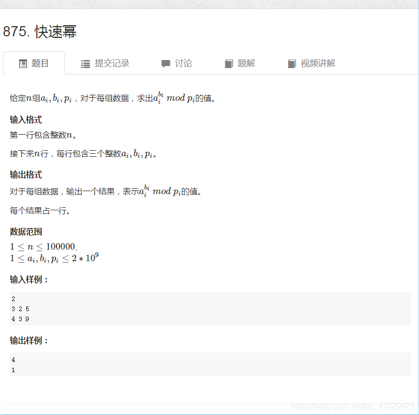
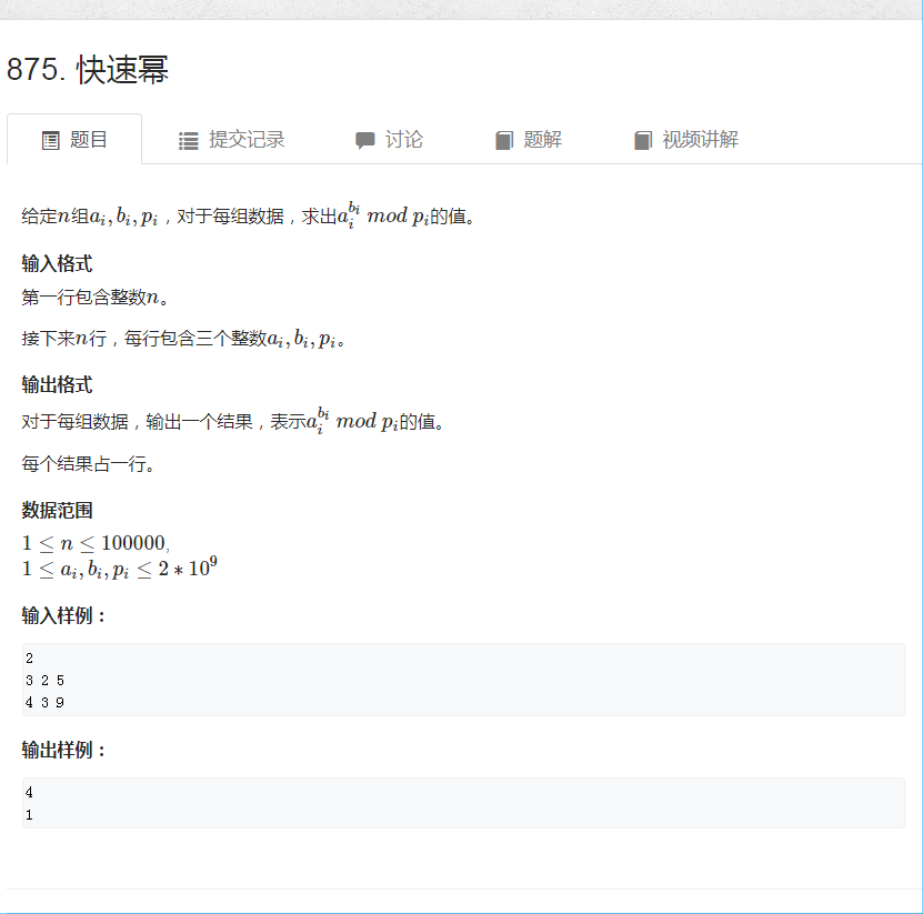
875快速幂(O(logn))

#include<iostream>
#include<algorithm>
using namespace std;
typedef long long LL; //在乘的过程中可能会溢出,需要强转
const int N=2*1e9+10;
int qmi(int a,int k,int p){
int res=1; //res在p以内,不会超出int
while(k){
if(k&1)res=(LL)res*a%p; //将k转2进制,k&1表示当k的当前位等于1,将当前a乘进结果 res*a可能会溢出,强转一下
k=k>>1; //k右移一位
a=(LL)a*a%p; //更新a的值 同理a*a可能也会溢出,强转一下(LL赋值给int取低四个字节,这里没有溢出,所以值不变)
}
return res;
}
int main(){
int n;
scanf("%d",&n);
while(n--){
int a,k,p;
scanf("%d%d%d",&a,&k,&p);
printf("%d\n",qmi(a,k,p));
}
return 0;
}
876快速幂求逆元(a与p互质时才能使用)

- 分析题干
- 求b的逆元,存在一个整数a使得与相等
- 把x叫做b的逆元记

推出逆元的性质:
那么求逆元即找到一个数与b的乘积mod m等于1(m与b互质)- 由费马定理
(b与m互质)
- 所以

#include<iostream>
#include<algorithm>
using namespace std;
const int N=2*1e9+10;
typedef long long LL;
int qmi(int a,int k,int p){
int res=1;
while(k){
if(k&1)res=(LL)res*a%p;
k=k>>1;
a=(LL)a*a%p;
}
return res;
}
int main(){
int n;
cin>>n;
while(n--){
int a,p;
cin>>a>>p;
int res=qmi(a,p-2,p);
if(a%p)cout<<res<<endl; //输入的p如果与a互质,那么输出结果
else cout<<"impossible"<<endl;
}
return 0;
}
拓展欧几里得算法
裴蜀定理:对于任意一对正整数a,b,一定存在一对非零x,y使得ax+by=gcd(a,b)
思路:利用标准gcd算法,过程中递归求出系数xy
分两种情况
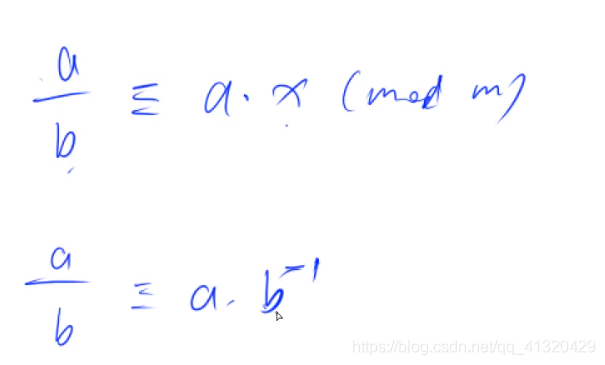
- 边界:当递归到最后的边界时有(a,0)此时返回公约数a,,,x,y对应的值分别是1,0
- 常规情况:递归调用exgcd(b,amodb,y,x),此时递归结束后x,y的值应当被更新成当前调用的值,对应关系推导如图
x=x
y=y-(a/b) * x 意味着y的值会变小,符合实际情况
注意x,y的值不唯一
等价于

若对于a,b,解得一组解
下面是对应的完全解:
?为什么完全解不写为
因为d是从a,b中分离,去掉/d会丢掉很多解
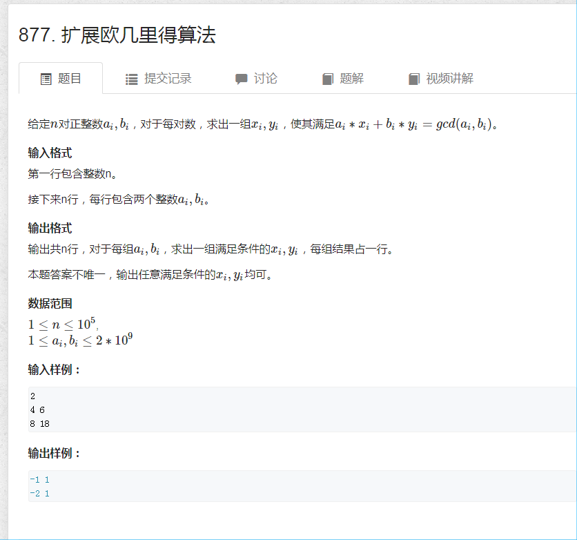
877拓展欧几里得算法

#include<iostream>
#include<algorithm>
using namespace std;
const int N=1e5+10;
int exgcd(int a,int b,int & x,int & y){
if(!b){
x=1,y=0;
return a;
}
int d= exgcd(b,a%b,y,x); //此步要颠倒一下对应系数
y-=a/b*x; //更新y的值,x的值不变
return d;
}
int main(){
int n;
cin>>n;
while(n--){
int a,b,x,y;
cin>>a>>b;
exgcd(a,b,x,y);
cout<<x<<" "<<y<<endl;
}
}
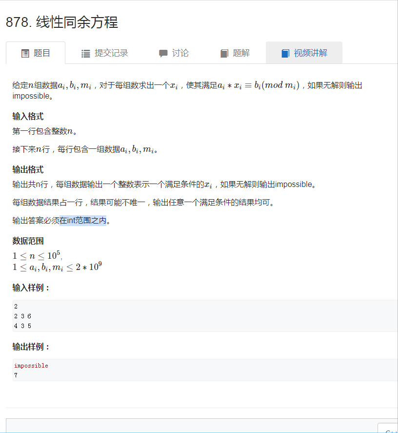
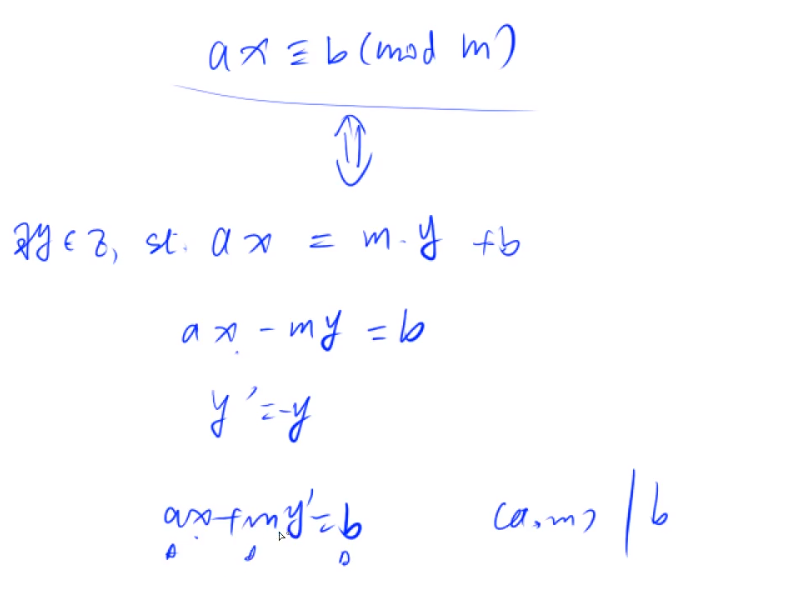
878线性同余方程

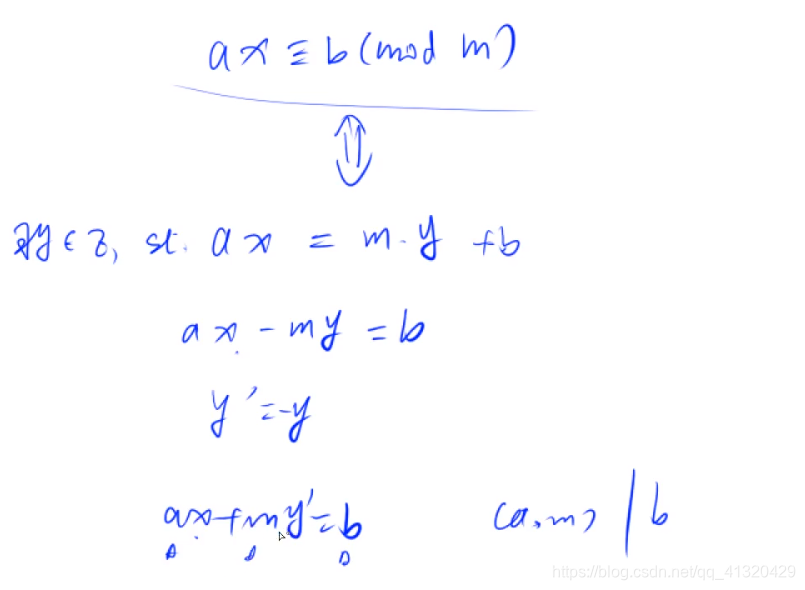
分析:问题の转化:
由题干
可知ax可以表示为my+b
移项得:
问题到此转化为已知a,m求系数x,y’使得
由拓展欧几里得可求
即时,存在解
求解结束时输出a的系数x mod m(不爆范围)即可

#include<iostream>
#include<algorithm>
using namespace std;
typedef long long LL;
int exgcd(int a,int b,int &x,int &y){
if(!b){
x=1,y=0;
return a;
}
int d=exgcd(b,a%b,y,x);
y-=a/b*x;
return d;
}
int main(){
int n;
cin>>n;
while(n--){
int a,b,m;
int x,y;
cin>>a>>b>>m;
int d=exgcd(a,m,x,y);
if(b%d)cout<<"impossible"<<endl; //b不是d的倍数,不存在x
else {
x=(LL)x*(b/d)%m; //模m防止溢出
cout<<x<<endl;
}
}
return 0;
}
中国剩余定理
摘自百度百科

最终解为:

因为a和M不一定满足互质条件
所以不用费马定理的快速幂求逆元
而采用线性同余方程求逆元
此时b应当等于1
即
转化为拓展欧几里得:
1应当为d的整数倍
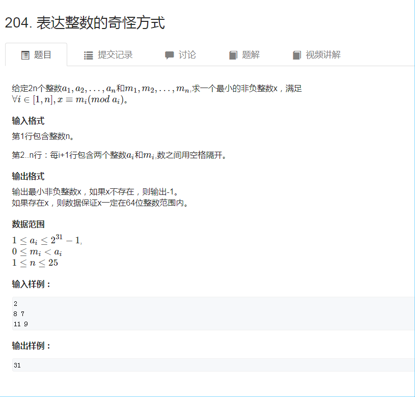
204表达整数的奇怪方式

该题不满足中国剩余定理两两互质的条件
公式の推导:
- 要满足一元线性同余方程组

- 任取其中两个式
- 化为
化为 - 合并得:
- 通过拓展欧几里得算法可知当存在时有解
- 当有解时,推得完全解 ,
- 代入上面x可以解得
- 令,(方括号代表最小公倍数)
- 对上面所有线性同余方程两两化简,最后可以得到解
- 此时所求答案就是取整数(找的就是x的最小正整数解,但是a0可能是负数需要转正)
#include<iostream>
#include<algorithm>
using namespace std;
typedef long long LL;
LL exgcd(LL a,LL b,LL &x,LL &y){
if(!b){
x=1;
y=0;
return a;
}
int d=exgcd(b,a%b,y,x);
y-=a/b*x;
return d;
}
int main(){
int n;
cin>>n;
LL a1,m1;
cin>>a1>>m1;
bool hash_answer=true;
for(int i=0;i<n-1;i++){
LL a2,m2;
cin>>a2>>m2;
LL k1,k2;
int d=exgcd(a1,a2,k1,k2);
if((m2-m1)%d){
hash_answer=false;
break;
}
else{
k1*=(m2-m1)/d;
LL t=a2/d;
k1=(k1%t+t)%t; //把k1中a2/d的因子全部去除,使k1是满足条件的最小正整数
m1+=a1*k1;
a1=abs(a1/d*a2); //a1可能是负数,取绝对值
}
}
if(hash_answer)cout<<(m1%a1+a1)%a1<<endl;
else cout<<-1;
}

浙公网安备 33010602011771号