408算法练习——分隔链表
分割链表
原题链接:https://leetcode-cn.com/problems/partition-list/
一、问题描述
给你一个链表的头节点 head 和一个特定值 x ,请你对链表进行分隔,使得所有 小于 x 的节点都出现在 大于或等于 x 的节点之前。
你应当 保留 两个分区中每个节点的初始相对位置。
示例 1:

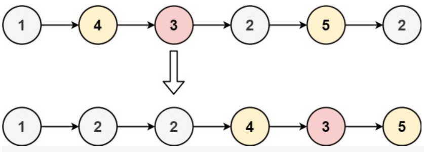
输入:head = [1,4,3,2,5,2], x = 3
输出:[1,2,2,4,3,5]
示例 2:
输入:head = [2,1], x = 2
输出:[1,2]
提示:
-
- 链表中节点的数目在范围
[0, 200]内 -100 <= Node.val <= 100-200 <= x <= 200
- 链表中节点的数目在范围
二、问题分析
既然要保证链表中元素的相对位置,就不能简单的用排序实现,但是已经给出了x的值,所以可以遍历链表,当找到第一个大于x的结点时停止,然后把该结点后面所有比x小的结点都移动到该结点的前面,遍历完成后就得出了结果链表
三、算法及代码
1 /** 2 * Definition for singly-linked list. 3 * public class ListNode { 4 * int val; 5 * ListNode next; 6 * ListNode() {} 7 * ListNode(int val) { this.val = val; } 8 * ListNode(int val, ListNode next) { this.val = val; this.next = next; } 9 * } 10 */ 11 class Solution { 12 public ListNode partition(ListNode head, int x) { 13 if(head == null || head.next == null){ 14 return head; 15 } 16 ListNode nhead = new ListNode(); 17 nhead.next = head; 18 ListNode i = nhead; 19 while(i.next != null && i.next.val<x){//先把i固定 20 i = i.next; 21 } 22 if(i.next == null){//此时i是最后一个元素,说明序列已经符合要求 23 return head; 24 }else{ 25 ListNode j = i.next;//让j从i开始遍历,找出所有小于x的结点 26 ListNode prej = i;//记录一个j的前趋结点用来移动元素 27 while(j != null){ 28 if(j.val < x){ 29 prej.next = j.next; 30 j.next = i.next; 31 i.next = j; 32 i = j; 33 j = prej.next; 34 // prej = prej.next; 35 }else{ 36 j = j.next; 37 prej = prej.next; 38 } 39 } 40 } 41 return nhead.next; 42 } 43 }

浙公网安备 33010602011771号