408算法练习——两两交换链表中结点
两两交换链表中结点
问题链接:https://leetcode-cn.com/problems/swap-nodes-in-pairs/submissions/
一、问题描述
给定一个链表,两两交换其中相邻的节点,并返回交换后的链表。
你不能只是单纯的改变节点内部的值,而是需要实际的进行节点交换。

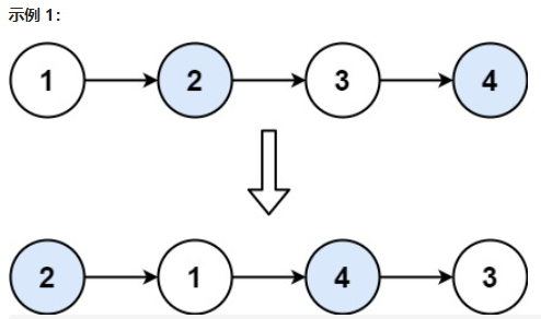
输入:head = [1,2,3,4]
输出:[2,1,4,3]
示例 2:
输入:head = []
输出:[]
示例 3:
输入:head = [1]
输出:[1]
二、算法描述
只需要两个指针,两两向后遍历,然后依次交换指针结点即可,注意维持链表的链接,所以还需要一个前指针,这个题的链表没有头节点,可以自己编一个头节点给题目,注意当链表中有奇数个元素时的处理
代码:
1 /** 2 * Definition for singly-linked list. 3 * public class ListNode { 4 * int val; 5 * ListNode next; 6 * ListNode() {} 7 * ListNode(int val) { this.val = val; } 8 * ListNode(int val, ListNode next) { this.val = val; this.next = next; } 9 * } 10 */ 11 class Solution { 12 public ListNode swapPairs(ListNode head) { 13 if(head == null){ 14 return head; 15 } 16 ListNode nhead = new ListNode(); 17 nhead.next = head;//创建一个头节点方便操作 18 ListNode r = nhead;//定义r,每次都交换r后的两个结点 19 while(r.next != null){ 20 ListNode i = r.next;//r后的第一个结点 21 if(i.next == null){//如果r后只有一个结点,就该跳出循环 22 break; 23 } 24 ListNode j = i.next; 25 i.next = j.next;//交换操作 26 r.next = j; 27 j.next = i; 28 r = i;//因为r后第一个结点被换到后面了,所以新的r就是这组结点最后的那个 29 } 30 return nhead.next; 31 } 32 }

浙公网安备 33010602011771号