408算法练习——盛水最多的容器
盛水最多的容器
原题链接:https://leetcode-cn.com/problems/container-with-most-water/
一、问题描述
给你 n 个非负整数 a1,a2,...,an,每个数代表坐标中的一个点 (i, ai) 。在坐标内画 n 条垂直线,垂直线 i 的两个端点分别为 (i, ai) 和 (i, 0) 。找出其中的两条线,使得它们与 x 轴共同构成的容器可以容纳最多的水。

示例1:
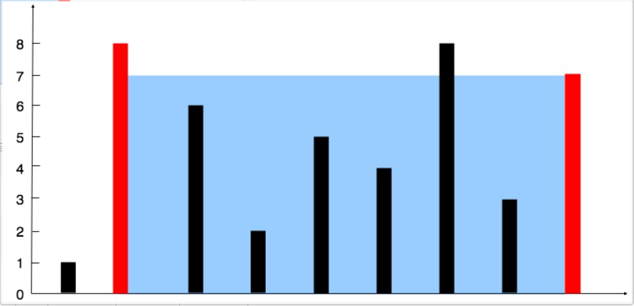
输入:[1,8,6,2,5,4,8,3,7]
输出:49
解释:图中垂直线代表输入数组 [1,8,6,2,5,4,8,3,7]。在此情况下,容器能够容纳水(表示为蓝色部分)的最大值为 49。
示例 2:
输入:height = [1,1]
输出:1
示例 3:
输入:height = [4,3,2,1,4]
输出:16
示例 4:
输入:height = [1,2,1]
输出:2
二、问题分析
这道题左呈云的课里说过,其实把问题简化就是找出整个数组中两个最大值,记录下面然后计算一个乘积就行,因为木桶原理,所以能装多少水应该以最短的算起。
解题:优先现在考虑一个问题,如果在两侧的桶壁比较低,而靠近中点的桶壁又很高,这样就会带来一个问题,就是如果取靠外的边作为桶壁,那么这个桶很宽而矮,而取靠近内测的边作桶壁,这个桶就高而细。而为了求得最大容量每次移动指针的时候都应该计算一次容量。
三、算法实现
首先需要的变量:i,j分别指向数组两侧;maxcap,记录最大容量;
1、让i和j分别指向数组两端,令maxcap=max(maxcap,j-i(min(i.value,j.value)))//容量等于i和j的距离乘i和j中最小值
2、让i.value和j.value中最小值向中间移动,if(i.value<j.value) i++;if(j.value<=i.value) j--; 等号位置随意
3、当i=j时结束循环。
1 class Solution { 2 public int maxArea(int[] height) { 3 int i=0,j=height.length-1,maxcap=0; 4 while(i < j){ 5 maxcap = Math.max(maxcap,(j-i)*(Math.min(height[i],height[j]))); 6 if(height[i]<height[j]){ 7 i++; 8 }else{ 9 j--; 10 } 11 } 12 return maxcap; 13 } 14 }
四、附加问题
如果把这个题改一改,不要求最大边作容量,而是要求以左右两个端点作边,这个容器最多能装多少水,那么这道题应该怎么解呢?

解题思路:就像俄罗斯方块一样,可以一层一层的相消,然后累加起来,在初始时固定最外侧两边,然后计算以这两条边为界能容纳的水量,那么这个水量是所有槽都能容纳下的。然后向内测找边,找一个两端都高于初始边的槽,减去量端边的小值,计算水量,然后累加,依次类推

就像图示一样,这样一层一层的计算水量也许是一种可行的办法。

浙公网安备 33010602011771号