初见二叉树
第一次接触树,通过学习整理了一下内容:
基本概念
定义:树形结构是一种非线性结构,它的特点是:每个结点最多只有一个前驱,但可以有多个后继。
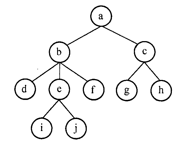
如图我们可以做以下解释
双亲和孩子 : 若a是b的前驱,则称a是b的双亲,b是a的孩子。
兄弟: 若b和c有共同的前驱,则称b和c互为兄弟。

分支结点和终端结点: 有后继的结点称为分支结点,没有后继的结点称为终端结点或树叶。
结点的度: 结点的度数等于该结点后继的个数。
树的度: 树的度数等于树中结点度数的最大值。
结点的层: 结点的层次是从根结点开始定义的,根结点在第一层,其余结点的层次等于其双亲结点层次加1。
树的高度: 树的高度等于树中结点层次的最大值。
- 二叉树前序遍历:

(1) 如上图得知遍历顺序为:abdeijfcgh(规律为根左右)
(2) 该遍历的算法如下:
递归 :
void preorder(int p)
{
if(p>0)//如果节点不为空的话我们进行if里面的代码程序
{
printf(“%c”, tree[p].data);//输出该节点
preorder(tree[p].llink); //将下个节点输入该函数,递归输出剩余节点
preorder(tree[p].rlink);
}
}
- 二叉树中序遍历:
(1) 如上图得知遍历顺序为:dijefbghca(规律为左根右)
(2) 该遍历的算法为:
递归:
void inorder(int p)
{
if(p>0)
{
inorder(tree[p].llink);//因为中序遍历的规律为:左根右所以先递归输出该节点的左孩子
printf(“%c”, tree[p].data)
inorder(tree(p).rlink);
}
}
- 二叉树后序遍历:
(1) 如上图得知遍历顺序为:jifedhgcba(规律为左右根)
(2) 该遍历的算法为:
递归:
void postorder(int p)
{
if(p>0)
{
postorder(tree[p].llink); //因为该遍历的规律为左右根,所以先递归输出该点的左右孩子
postorder(tree[p] .rlink);
printf(“%c”, tree[p].data)
}
}
存储二叉树的方法:我用的是以链表形式来存储这个二叉树,代码如下:
#define n0 100 //数组最大下标
#define datatype char
struct node{
datatype data; //节点数值
int llink,rimk;//左孩子和右孩子的指针
};
node tree[n0+l];
int root; //根结点指针
如下图分别是一个二叉数和它在链表中静态存储结构:


浙公网安备 33010602011771号