二叉树
树
1. 树的定义

树的特点:
- 每个结点有0个或者多个子结点
- 没有父结点的结点为根节点
- 每一个非根结点只有一个父结点
- 每个结点及其后代结点整体上可以看做一棵树,称为当前结点的父结点的一个子树
2. 树的相关术语
- 结点的度:一个结点含有的子树的个数称为结点的度(也可以理解为子结点的个数)
- 叶结点:度为0的结点称为叶结点
- 分支结点:与叶结点相反,度不为0的结点称为分支结点
- 结点的层次:从根结点开始,根结点的层次为1,根的直接后继层次为2,以此类推
- 树的度:树中所有结点的度的最大值
- 树的深度:树中结点的最大层次
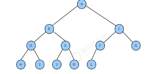
3. 二叉树的基本定义
二叉树就是度不超过2的树(每个结点多有两个子结点)
-
满二叉树:一个二叉树,每一层的结点都达到最大值,则这个二叉树就是满二叉树

-
完全二叉树:叶节点只能出现在下层和次下层,并且下面一层的结点都集中在该层左边的若干位置的二叉树

4. 二叉树的API设计

5.二叉树的代码实现
public class BinaryTree <Key extends Comparable<Key>,Value>{
//记录根结点
private Node root;
private int N;
private class Node{
public Key key;
public Value value;
public Node left;
public Node right;
public Node(Key key, Value value, Node left, Node right) {
this.key = key;
this.value = value;
this.left = left;
this.right = right;
}
}
//获取树中元素的个数
public int size(){
return N;
}
//向树中添加元素key-value
public void put(Key key,Value value){
root = put(root,key,value);
}
//向指定树X中添加元素key-value
public Node put(Node x,Key key,Value value){
//如果x子树为空
if (x == null){
N++;
return new Node(key,value,null,null);
}
//如果X子树不为空
int cmp = key.compareTo(x.key);
if (cmp>0){
x.right = put(x.right,key,value);
}else if (cmp<0){
x.left = put(x.left,key,value);
}else {
x.value = value;
}
return x;
}
//查询树种指定key的对应的value
public Value get(Key key){
return get(root,key);
}
//从指定树中查询key对应的值
public Value get(Node x ,Key key){
//x树为null
if (x == null){
return null;
}
//x树不为null
int cmp = key.compareTo(x.key);
if (cmp>0){
return get(x.right,key);
}else if (cmp<0){
return get(x.left,key);
}else {
return x.value;
}
}
//删除树中key对应的value
public void delete(Key key){
delete(root,key);
}
//删除指定树中key对应的value,并返回删除后的新树
public Node delete(Node x,Key key){
N--;
//x树为null
if (x == null){
return null;
}
//x树不为null
int cmp = key.compareTo(x.key);
if (cmp>0){
x.right = delete(x.right,key);
}else if (cmp<0){
x.left = delete(x.left,key);
}else {
if (x.right==null){
return x.left;
}
if (x.left==null){
return x.right;
}
Node minNode = x.right;
while (minNode.left!=null){
minNode = minNode.left;
}
Node n = x.right;
while (n.left!=null){
if (n.left.left==null){
n.left = null;
}else {
n = n.left;
}
}
minNode.left = x.left;
minNode.right = x.right;
x = minNode;
}
return null;
}
}
6.二叉树的遍历
1. 前序遍历
先访问根结点,然后再访问左子树,后访问右子树
2. 前序遍历代码实现
//获取整个树中所有的键
public Queue<Key> preErgodic(){
Queue<Key> keys = new Queue<>();
preErgodic(root,keys);
return keys;
}
//获取指定树x的所有键,并放到keys队列中
private void preErgodic(Node x,Queue<Key> keys){
if (x==null){
return;
}
//把x结点的key放入到keys中
keys.enqueue(x.key);
//递归遍历x结点的左子树
if (x.left!=null){
preErgodic(x.left,keys);
}
//递归遍历x结点的右子树
if (x.right!=null){
preErgodic(x.right,keys);
}
}
3. 中序遍历
先访问左子树,中间访问根节点,后访问右子树
4. 中序遍历代码实现
public Queue<Key> midErgodic(){
Queue<Key> keys = new Queue<>();
midErgodic(root,keys);
return null;
}
public void midErgodic(Node x,Queue<Key> keys){
if (x==null){
return;
}
//先递归,把左子树中的键放到keys中
if (x.left!=null){
midErgodic(x.left,keys);
}
//把当前结点的x的键放到keys中
keys.enqueue(x.key);
//再递归,把右子树中的键放到keys中
if (x.right!=null){
midErgodic(x.right,keys);
}
}
5. 后序遍历
先访问左子树,再访问右子树,后访问根节点
6. 后序遍历代码实现
public Queue<Key> afterErgodic(){
Queue<Key> keys = new Queue<>();
afterErgodic(root,keys);
return keys;
}
public void afterErgodic(Node x,Queue<Key> keys){
if (x==null){
return;
}
if (x.left!=null){
afterErgodic(x.left,keys);
}
if (x.right!=null){
afterErgodic(x.right,keys);
}
keys.enqueue(x.key);
}
7. 层序遍历
所谓的层序遍历,就是从根节点(第一层)开始,依次向下,获取每一层所有结点的值
8. 层序遍历代码实现
public Queue<Key> layerErgodic(){
Queue<Key> keys = new Queue<>();
Queue<Node> nodes = new Queue<>();
nodes.enqueue(root);
while (!nodes.isEmpty()){
Node n = nodes.dequeue();
keys.enqueue(n.key);
if (n.left!=null){
nodes.enqueue(n.left);
}
if (n.right!=null){
nodes.enqueue(n.right);
}
}
return keys;
}
7.二叉树的最大深度代码实现
public int maxDepth(){
return maxDepth(root);
}
public int maxDepth(Node x){
if (x ==null){
return 0;
}
int max = 0;
int maxL = 0;
int maxR = 0;
//计算左子树最大深度
if (x.left!=null){
maxL = maxDepth(x.left);
}
//计算右子树最大深度
if (x.right!=null){
maxR = maxDepth(x.right);
}
//比较左子树的最大深度和右子树的最大深度,取较大值
max = maxL>maxR?maxL+1:maxR+1;
return max;
}

浙公网安备 33010602011771号