点分治
点分治
概念
点分治是树分治的一种,主要用于解决树上路径问题。
实现
贴上例题:
给定一棵有 \(n\) 个点的树,询问树上距离为 \(k\) 的点对是否存在。
考虑对于树上的所有路径,可以分为两类:
- 经过当前根节点的。
- 不经过当前根节点的。
对于第一种情况,我们直接求解。对于第二种情况,他们一定在根节点的某个子树中,考虑递归求解。
但是,如果我们随机找一个点作为根节点来求解,显然是不一定会是最优的,甚至可以被卡成 \(O(n)\)。所以,我们考虑以树的重心作为初始根节点,让他深度平衡,就可以保证时间复杂度为 \(O(\log n)\)。
总结一下点分治的基本步骤:
- 找出当前子树的重心。
- 根据题意对于当前子树进行统计答案。
- 分治各个子树,然后重复这三步。
这就是点分治的基本思想。
代码:
#include <bits/stdc++.h>
#define il inline
using namespace std;
il int read() {
int x = 0; char ch = getchar(); bool t = 0;
while (ch < '0' || ch > '9') {t ^= ch == '-'; ch = getchar();}
while (ch >= '0' && ch <= '9') {x = (x << 1) + (x << 3) + (ch ^ 48); ch = getchar();}
return t ? -x : x;
}
const int N = 1e4 + 10, M = 1e7 + 10;
int n, m, a[N];
struct edge {
int y, w;
};
vector<edge> G[N];
int cen;
int siz[N], sum;
int fl[N];
il void getcen(int x, int fa) {
siz[x] = 1;
int mx = 0;
for (edge i : G[x]) {
if (fl[i.y] || i.y == fa) continue;
getcen(i.y, x);
siz[x] += siz[i.y];
mx = max(mx, siz[i.y]);
}
mx = max(mx, sum - siz[x]);
if (mx <= sum / 2) cen = x;
}
int dis[N], d[N], cnt;
il void getdis(int x, int fa) {
d[++cnt] = dis[x];
for (edge i : G[x]) {
if (fl[i.y] || i.y == fa) continue;
dis[i.y] = dis[x] + i.w;
getdis(i.y, x);
}
}
bitset<M> vis;
int p[N], tot;
int ans[N];
il void dfs(int x, int fa) {
fl[x] = 1;
vis[0] = 1;
tot = 0;
for (edge i : G[x]) {
if (fl[i.y] || i.y == fa) continue;
cnt = 0;
dis[i.y] = i.w;
getdis(i.y, x);
for (int j = 1; j <= cnt; j++) {
for (int k = 1; k <= m; k++) {
if (a[k] >= d[j]) {
ans[k] |= vis[a[k] - d[j]];
}
}
}
for (int j = 1; j <= cnt; j++) {
if (d[j] >= M) continue;
p[++tot] = d[j];
vis[d[j]] = 1;
}
}
for (int i = 1; i <= tot; i++) {
vis[p[i]] = 0;
}
for (edge i : G[x]) {
if (fl[i.y] || i.y == fa) continue;
sum = siz[i.y];
getcen(i.y, 0);
dfs(cen, 0);
}
}
int main() {
n = read(), m = read();
for (int i = 1; i < n; i++) {
int x = read(), y = read(), w = read();
G[x].push_back({y, w});
G[y].push_back({x, w});
}
for (int i = 1; i <= m; i++) {
a[i] = read();
}
sum = n;
getcen(1, 0);
dfs(cen, 0);
for (int i = 1; i <= m; i++) {
if (ans[i]) {
printf("AYE\n");
} else {
printf("NAY\n");
}
}
return 0;
}
动态点分治
动态点分治,就是基于点分治加以变化,构建出一棵重构树,就叫做点分树。
基本概念
具体的,就是将这一层的重心与上一层额重心连边,建出一棵重构树,就叫做点分树。
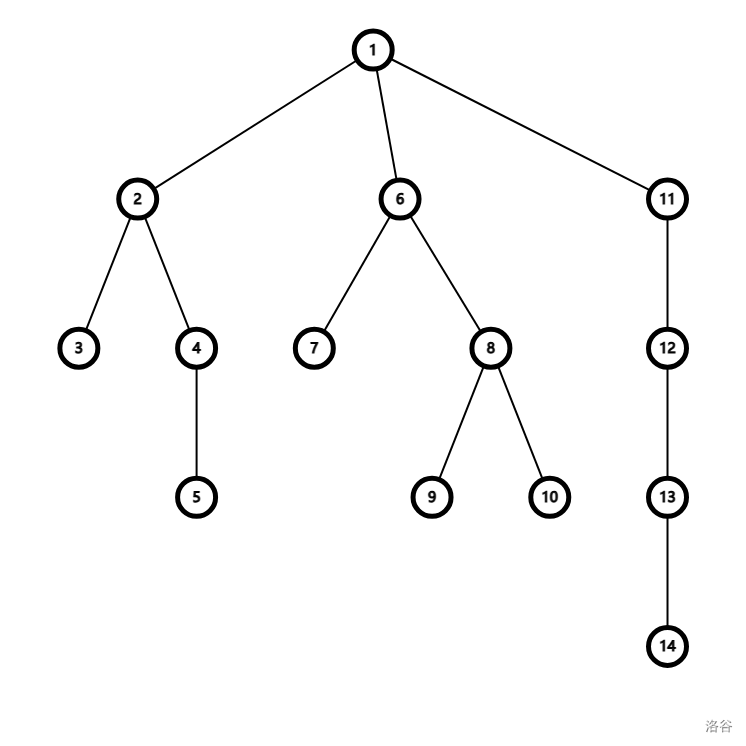
有什么用呢?点分治可以查询树上路径相关问题,但是涉及修改和多次询问,点分治就显得乏力。于是,我们利用点分治的思想建树。比如下图这棵树:

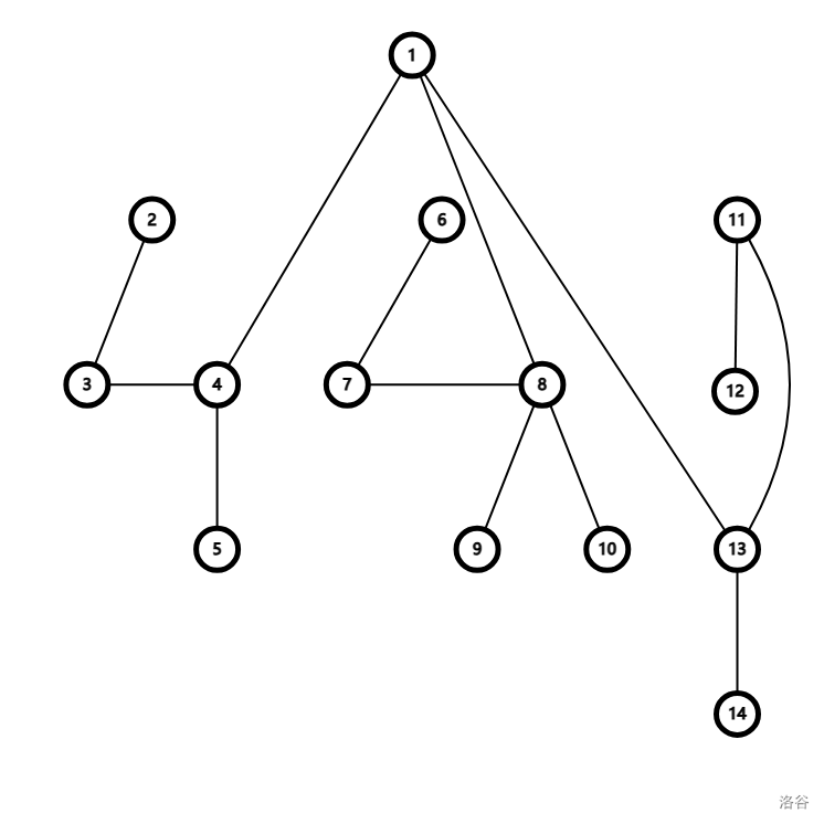
构造点分树为:

然后点分树没啥有用的。但是他有一个特别牛逼的性质:对于两点 \(x,y\),他们在点分树上的 LCA,必然在原树 \(x \rightarrow y\) 的路径上。还有一个性质就是由于每次都连的是原树上的重心,所以树高不会超过 \(\log n\)。
我们就利用这些性质做题。
例题
有一棵树,每个点有点权 \(a_i\),每次进行两种操作中的一种:
- 给出 \(x,y\),将 \(a_x\) 改为 \(y\)。
- 给出 \(x,k\),求 \(\sum_{dis(x,y) \le k} a_y\)。
考虑利用点分树。
重点在于操作二。此时 \(x\) 是定点,\(y\) 在变化。考虑枚举 \(x,y\) 在点分树上所有可能的 LCA,记为 \(l\)。那么可得 \(dis(x,y)=dis(x,l)+dis(l,y)\)。注意,此处的 \(dis\) 是原树上的。
那么要求的答案就转化为:
移项得:
那么现在 \(l,x,k\) 都是定的,也就是求合法的 \(y\)。
首先考虑满足 \(lca(x,y)=l\)。显然是 \(l\) 的子树除去 \(l\) 在 \(x\) 方向上的儿子 \(p\) 的子树。
那么现在要求的就是在这部分子树中满足 \(dis(l,y) \le k-dis(l,x)\) 的 \(y\) 的权值和。那其实答案就是 \(l\) 的子树内距离 \(\le k-dis(x,l)\) 的点的权值和减去 \(p\) 的子树内到 \(l\) 的距离 \(\le k-dis(x,l)\) 的点的权值和。
那现在就可以考虑拿一个数据结构维护这个东西。现在要支持子树点权值和、单点修改、前缀和查询,对于每个点建立一棵动态开店线段树即可。具体的,对于点 \(x\),下标为 \(i\) 表示 \(x\) 子树内满足 \(dis(x,p)=i\) 的 \(a_p\) 之和。这样即可求 \(l\) 的子树内距离 \(\le k-dis(x,l)\) 的点的权值和。
考虑如何求后半部分,简单粗暴一点,再建一棵线段树即可。
概括一下,两棵线段树,一棵维护到点 \(x\) 的距离的点权和,一棵维护到 \(fa_x\) 的距离的点权和。
#include <bits/stdc++.h>
#define il inline
#define int long long
using namespace std;
const int bufsz = 1 << 20;
char ibuf[bufsz], *p1 = ibuf, *p2 = ibuf;
#define getchar() (p1 == p2 && (p2 = (p1 = ibuf) + fread(ibuf, 1, bufsz, stdin), p1 == p2) ? EOF : *p1++)
il int read() {
int x = 0; char ch = getchar(); bool t = 0;
while (ch < '0' || ch > '9') {t ^= ch == '-'; ch = getchar();}
while (ch >= '0' && ch <= '9') {x = (x << 1) + (x << 3) + (ch ^ 48); ch = getchar();}
return t ? -x : x;
}
const int N = 1e5 + 10;
int n, m, a[N];
vector<int> G[N];
int siz[N], son[N], fa[N], dep[N], top[N];
il void dfs1(int x, int father) {
fa[x] = father;
dep[x] = dep[fa[x]] + 1;
siz[x] = 1;
for (int y : G[x]) {
if (y == fa[x]) continue;
dfs1(y, x);
siz[x] += siz[y];
if (siz[y] > siz[son[x]]) son[x] = y;
}
}
il void dfs2(int x, int t) {
top[x] = t;
if (!son[x]) return;
dfs2(son[x], t);
for (int y : G[x]) {
if (y == fa[x] || y == son[x]) continue;
dfs2(y, y);
}
}
il int getlca(int x, int y) {
while (top[x] != top[y]) {
if (dep[top[x]] < dep[top[y]]) swap(x, y);
x = fa[top[x]];
}
if (dep[x] < dep[y]) swap(x, y);
return y;
}
il int getdis(int x, int y) {
return dep[x] + dep[y] - 2 * dep[getlca(x, y)];
}
struct Seg {
struct node {
int l, r, s;
} tree[40 * N];
#define lc tree[p].l
#define rc tree[p].r
int root[N], tot;
il void pushup(int p) {
tree[p].s = tree[lc].s + tree[rc].s;
}
il void update(int &p, int l, int r, int x, int v) {
if (!p) p = ++tot;
if (l == r) {
tree[p].s += v;
return;
}
int mid = l + r >> 1;
if (x <= mid) update(lc, l, mid, x, v);
else update(rc, mid + 1, r, x, v);
pushup(p);
}
il int query(int p, int l, int r, int x, int y) {
if (!p || x > y) return 0;
if (l == x && y == r) return tree[p].s;
int mid = l + r >> 1;
if (y <= mid) return query(lc, l, mid, x, y);
else if (x > mid) return query(rc, mid + 1, r, x, y);
else return query(lc, l, mid, x, mid) + query(rc, mid + 1, r, mid + 1, y);
}
} tr1, tr2;
int cen, sz[N], sum, f[N], fl[N];
il void getcen(int x, int fa) {
sz[x] = 1;
int mx = 0;
for (int y : G[x]) {
if (fl[y] || y == fa) continue;
getcen(y, x);
sz[x] += sz[y];
mx = max(mx, sz[y]);
}
mx = max(mx, sum - sz[x]);
if (mx <= sum / 2) cen = x;
}
il void dfs(int x, int fr) {
fl[x] = 1;
for (int y : G[x]) {
if (fl[y] || y == fr) continue;
sum = sz[y];
getcen(y, 0);
getcen(cen, 0);
f[cen] = x;
dfs(cen, 0);
}
}
il void update(int x, int v) {
for (int p = x; p; p = f[p]) {
tr1.update(tr1.root[p], 0, n, getdis(x, p), v);
if (f[p]) {
tr2.update(tr2.root[p], 0, n, getdis(x, f[p]), v);
}
}
}
il int query(int x, int k) {
int ans = 0, pre = 0;
for (int p = x; p; p = f[p]) {
int len = k - getdis(x, p);
ans += tr1.query(tr1.root[p], 0, n, 0, len) - tr2.query(tr2.root[pre], 0, n, 0, len);
pre = p;
}
return ans;
}
signed main() {
n = read(), m = read();
for (int i = 1; i <= n; i++) a[i] = read();
for (int i = 1; i < n; i++) {
int x = read(), y = read();
G[x].push_back(y);
G[y].push_back(x);
}
dfs1(1, 0);
dfs2(1, 1);
sum = n;
getcen(1, 0);
getcen(cen, 0);
dfs(cen, 0);
for (int i = 1; i <= n; i++) {
update(i, a[i]);
}
int lastans = 0;
while (m--) {
int op = read(), x = read(), y = read();
x ^= lastans, y ^= lastans;
if (op == 0) {
printf("%lld\n", lastans = query(x, y));
} else {
update(x, -a[x] + y);
a[x] = y;
}
}
return 0;
}

浙公网安备 33010602011771号