二分图
二分图
概念
假设 \(G=(V,E)\) 是一个无向图,若点集 \(V\) 可以分解成互不相交的子集 \((A,B)\),并且图中所有边 \((i,j)\) 的端点 \(i\)、\(j\) 分别属于子集 \(A\)、\(B\),则称 \(G\) 是一个二分图。
判断
- 一张无向图时二分图,当且仅当图中不存在奇环。
- 如果某个图时二分图,那么他至少有两个顶点,且其所有回路长度均为偶数,任何无回路的图均是二分图(树就是二分图)。
染色法判定一个图是否是二分图
从其中一个点开始,将跟他连接的点染成与其不同的颜色,如果连接的点有颜色相同的,则说明不是二分图。
小知识:
匹配:无共同点的边的集合。
匹配数:边集中边的个数。
最大匹配:匹配数最大的匹配。
交错路:始于非匹配点且由匹配边与非匹配边交错而成。
增广路:始于非匹配点且终于非匹配点(除了起点的点)的交错路。
增广路性质:
-
增广路中的边的数量是奇数。
-
增广路上非匹配边比匹配边数量多 1。
-
奇数边是非匹配边,偶数边是匹配边。
-
如果将增广路上的匹配边和未匹配边反转,则匹配边数会增加 1。
最大匹配
概念
免了,上面说过了。
匈牙利算法
先说一句很玄的话:对于二分图最大匹配问题, \(M\) 为图 \(G\) 的最大匹配当且仅当找不到 \(M\) 的增广路。
用增广路求最大匹配,称作匈牙利算法。
本质:贪心。
具体步骤:
-
该点时未匹配点:
此时直接把两个点进行匹配。
-
从与该节点匹配的左部分出发,可以找到另一个右部点与之匹配:
此时递归进入该右部点的左部点,为其寻找匹配的右部点。

贴上这个:四个猛男和四个美女的故事
代码实现
// luogu P3386【模板】二分图最大匹配
#include <bits/stdc++.h>
using namespace std;
const int N = 505 + 10;
int n, m, e; // 左部点数量,右部点数量,边数量
vector<int> G[N];
int vis[N], pei[N]; // vis 记录右部点是否被访问,pei 记录每个右部点所匹配的点
bool dfs(int x) {
for (int y : G[x]) {
if (vis[y]) continue;
vis[y] = 1;
if (!pei[y] || dfs(pei[y])) {
// 若所关联的点没被匹配或者 dfs 返回 true 说明可以与之匹配
pei[y] = x;
return true;
}
}
return false;
}
int main() {
scanf("%d%d%d", &n, &m, &e);
for (int i = 1; i <= e; i++) {
int x, y;
scanf("%d%d", &x, &y);
G[x].push_back(y);
}
int ans = 0;
for (int i = 1; i <= n; i++) {
for (int j = 1; j <= m; j++) vis[j] = 0;
if (dfs(i)) ans++;
}
printf("%d\n", ans);
return 0;
}
最小点覆盖
概念
在一个图中任意选取最少的点,使得图中所有的边都与任意所选点相连。
定理
二分图最小点覆盖包含的点数等于二分图最大匹配包含的边数。
求解
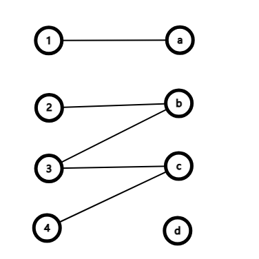
那这张二分图举个例子。

构造方法如下:
- 求出最大匹配。假设该二分图的最大匹配是(1,a)、(2,b)、(3,c)。
- 从左部点每个非匹配点出发,执行一次 dfs 找增广路的过程,标记所有访问过的节点。该二分图中从为匹配点 4 出发,走过的路径为 4 -> c -> 3 -> b -> 2。
- 取左部点中没有打上标记的点和右部点中打上标记的点,得到最小点覆盖。该二分图取出 1、b、c 三个点,即为最小点覆盖点集。
证明:
在构造中,我们取左部点中没有被标记的点和右部点中被标记的点,则恰好是每条匹配边取了一个点,于是选出来的点数等于最大匹配的边数。
再来看这种取法是否能覆盖所有的边:
- 显然匹配边一定被覆盖。
- 显然不存在连接两个非匹配点的边。
- 对于连接左部非匹配点和右部匹配点的边,后者必然被选,所以此边被覆盖。
- 对于连接左部匹配点和右部非匹配点的边,那么前者必然未在步骤 2 的 dfs 中被标记,那么前者就必然被选,所以此边被覆盖。
最大独立集问题
概念
任意两点在图中都没有边相连的点集称为图的独立集。
选出最多的点构成独立集的点集大小即为最大独立集。
求解
二分图最大独立集 = 图的点数 - 二分图最大匹配
证明:
选出最多的点构成独立集,即在图中去掉最少的点使剩下的点之间没有边。用最少的点覆盖所有的边,去掉的边数即为最小点覆盖(二分图最小点覆盖 = 二分图最大匹配)。
最小路径覆盖问题
概念
在一个有向图中,找出最少的路径,使得这些路径经过了所有点即为路径覆盖。
最小路径覆盖又分为最小不相交路径覆盖和最小可相交路径覆盖。
求解
最小不相交路径覆盖
最小不相交路径覆盖:用尽量少的不相交简单路径覆盖有向无环图的所有点。
我们构造一张二分图。把原图中的每个点拆成二分图中左、右两个点:对于每条有向边 \((u,v)\),从 \(u\) 的左部点向 \(v\) 的右部点连一条边。
则:最小路径覆盖 = 原图的点数 - 二分图最大匹配
证明:
首先,若最大匹配为 0,则二分图中没有边,说明原图中没有边。那么显然:
最小路径覆盖 = 原图的点数 - 0 = 原图的点数
若此时增加一条匹配边 \((x1, y2)\),则在有向图中 \(x\)、\(y\) 在同一条路径上,最小路径覆盖数减少 1。
继续增加匹配边,每增加一条,最小路径数减少一个。
则:最小路径覆盖 = 原图的点数 - 二分图最大匹配 成立。
最小可相交路径覆盖
先用 floyd 求出原图的传递闭包,即如果 \(a\) 到 \(b\),那么就加边 \((a,b)\)。然后就转化成了最小不相交路径覆盖问题。
证明:
意会。
二分图问题总结
基础二分图问题核心就是匈牙利算法。
- 二分图的判定。(这个不用匈牙利算法)
- 二分图最大匹配直接利用匈牙利算法求解。
- 二分图最小点覆盖 = 最大匹配
- 二分图最大独立集 = 总点数 - 最大匹配
- 有向无环图最小路径覆盖 = 原图点数 - 构造二分图最大匹配

浙公网安备 33010602011771号