LCS算法和背包算法
1. 问题
LCS和背包算法,特别要求举例时采用不同于讲义的数据进行推导。
2. 解析
LCS:
由最长公共子序列问题的最优子结构性质可知,要找出X=<x1, x2, …, xm>和Y=<y1, y2, …, yn>的最长公共子序列,可按以下方式递归地进行:当xm=yn时,找出Xm-1和Yn-1的最长公共子序列,然后在其尾部加上xm(=yn)即可得X和Y的一个最长公共子序列。当xm≠yn时,必须解两个子问题,即找出Xm-1和Y的一个最长公共子序列及X和Yn-1的一个最长公共子序列。这两个公共子序列中较长者即为X和Y的一个最长公共子序列。
由此递归结构容易看到最长公共子序列问题具有子问题重叠性质。例如,在计算X和Y的最长公共子序列时,可能要计算出X和Yn-1及Xm-1和Y的最长公共子序列。而这两个子问题都包含一个公共子问题,即计算Xm-1和Yn-1的最长公共子序列。
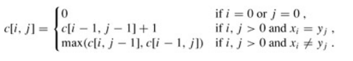
与矩阵连乘积最优计算次序问题类似,我们来建立子问题的最优值的递归关系。用c[i,j]记录序列Xi和Yj的最长公共子序列的长度。其中Xi=<x1, x2, …, xi>,Yj=<y1, y2, …, yj>。当i=0或j=0时,空序列是Xi和Yj的最长公共子序列,故c[i,j]=0。其他情况下,由定理可建立递归关系如下:

背包:
n=5是物品的数量,c=10是书包能承受的重量,w=[2,2,6,5,4]是每一个物品的重量,v=[6,3,5,4,6]是每一个物品的价值,先把递归的定义写出来:

然后自底向上实现
3. 设计
LCS:
Procedure LCS(b,X,i,j);
begin
if i=0 or j=0 then return;
if b[i,j]="↖" then
begin
LCS(b,X,i-1,j-1);
print(x[i]); {打印x[i]}
end
else if b[i,j]="↑" then LCS(b,X,i-1,j)
else LCS(b,X,i,j-1);
end;
背包:
for(int i=0;i<n;i++){
for(int j=m;j>=0;j--)
{
if(j>=w[i]){
dp[j]=max(dp[j],(dp[j-w[i]]+v[i]));
}
}
}
4. 分析
LCS:O(mn)
背包:O(N*W)
5. 源码
[github源码地址]

浙公网安备 33010602011771号