题解:SP4226 MSE06H - Japan
解题思路
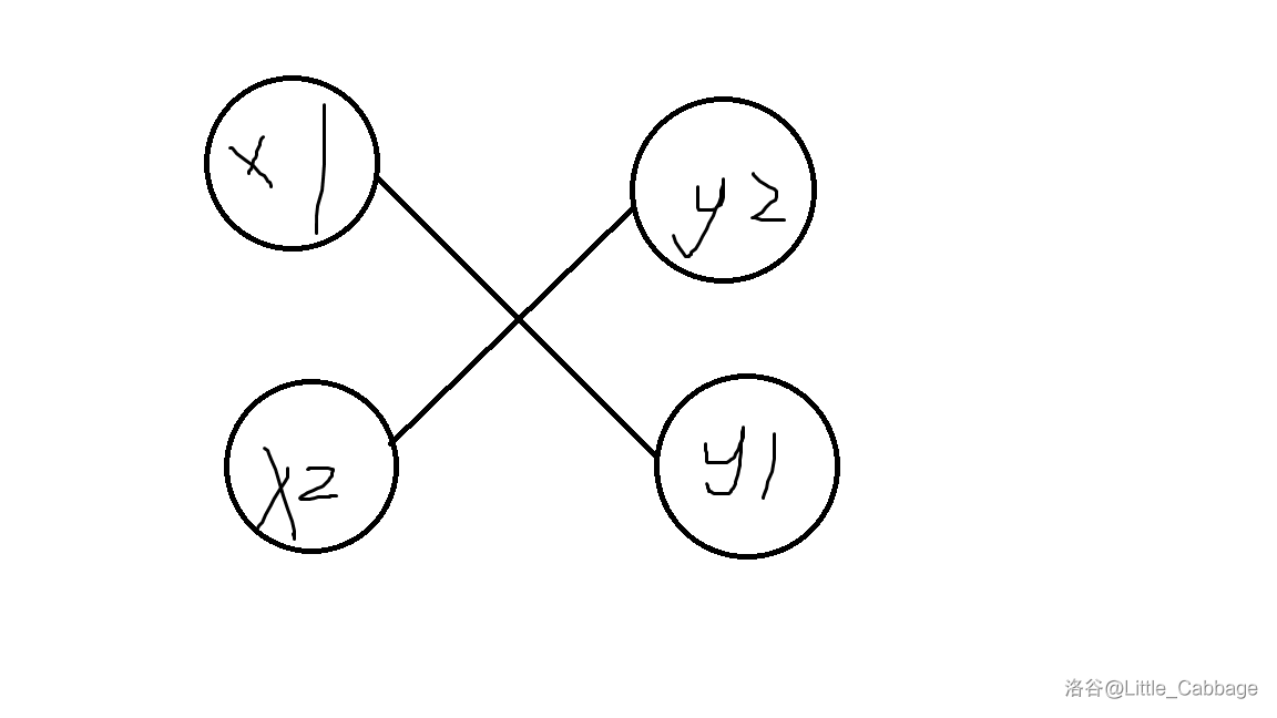
先可以看一个特例。
如图:

得出结论两条路相交的条件为 \(x_i<x_j\) 且 \(y_j < y_i\)。
发现如果按第一个数排序,只有第二个数成逆序对的两条路才会相交,所以直接按第一个数排序后求逆序对数量即可。
代码
#include <bits/stdc++.h>
#define int long long
using namespace std;
const int N = 1010;
int n, m, k;
struct node {
int x, y;
} a[N * N];
int b[N * N];
int lowbit(int x) {
return x & -x;
}
void add(int x, int val) {
for (int i = x; i <= m; i += lowbit(i)) b[i] += val;
}
int sum(int x) {
int res = 0;
for (int i = x; i > 0; i -= lowbit(i)) res += b[i];
return res;
}
void Solve(int T) {
memset(b, 0, sizeof b);
cin >> n >> m >> k;
for (int i = 1; i <= k; i ++ ) cin >> a[i].x >> a[i].y;
sort(a + 1, a + k + 1, [](node a, node b){return (a.x == b.x? a.y < b.y : a.x < b.x);});
int res = 0;
for (int i = k; i >= 1; i -- ) {
res += sum(a[i].y - 1);
add(a[i].y, 1);
}
printf("Test case %lld: %lld\n", T, res);
}
signed main() {
ios::sync_with_stdio(false), cin.tie(nullptr), cout.tie(nullptr);
int T, cnt = 0;
cin >> T;
while (T -- ) Solve( ++ cnt);
return 0;
}

浙公网安备 33010602011771号