Java 基础 16 递归思想
递归 : 一个方法在它方法体内调用自身的情况称为递归调用,一种特殊的嵌套调用。
( 自己调用自己)利用递归可以用简单的程序来解决一些复杂问题。
- 
提示:1. 主方法中定义变量只能主方法中使用,因为它也是一个方法,与其它方法是平行关系。 
3. 复合语句中定义变量其作用域只在复合语句范围内。
- 
使用: 1. 利用递归可以简单的程序来解决一些复杂的问题。它通常把一个大型复杂的问题层层转化 为一个原问题相似的规模较小的问题来求解,递归策略只需少量的程序就可描述出解题 过程所需要 的多次重复计算,大大地减少了程序的代码量。递归的能力在于用限定的语句 来定义对象的无限集合。 
2. 递归嵌套比较深的算法就不能用了,会造成内存奔溃(所以能不用递归就不用递归)
数值比较小的情况下才用
递归结构包阔两个部分:递归头:什么时候不调用自身方法。如果没有头,陷入死循环。
递归体:什么时候需要调用自身方法。

边界条件:边界
前阶段:
class RecursionTest
{//用递归求阶乘
    public static void main(String[] args) {
        System.out.println(f(5));
    }
    public static int f(int n)
    {
        if (n==1)
        {
            return 1;
        }else {
            return n*f(n-1);
        }
    }
}
package src1;
import javax.accessibility.AccessibleStreamable;
/*
 *递归思想
 */
public class Demo26 
{
 public static void main(String[] args) 
 {
     double f=f(4);
     System.out.println(f);
 }
 public static int f(int n)
 {
     if (n==1) //边界条件:条件,到最后一个程序的时候程序达到f1时程序返回main方法
     {
       return 1;    
    }
     else {
        return n*f(n=n-1); //返回阶段 n*(n-1)
    }
 }
}
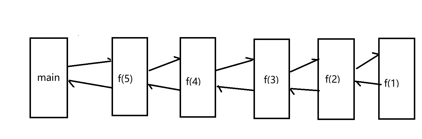
Main------>f(4)------>f(3)------>f(2)------>f(1)
 
                    
                     
                    
                 
                    
                 
                
            
         
         浙公网安备 33010602011771号
浙公网安备 33010602011771号