3D数学基础-矩阵
转置矩阵
矩阵沿对角线对折得到原矩阵的逆矩阵。


转置引理:

标量和矩阵的乘法

矩阵乘法
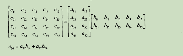
一个R*N的A矩阵能够和一个N*C的B矩阵相乘得到R*C的C矩阵。
前一个矩阵的列等于后一个矩阵的行。
A矩阵的i行与B矩阵的j列进行点乘得到新的矩阵,我们观察2*2矩阵的计算。

所以我们可以根据上面的规律计算下面的矩阵:

c11=a11b11+a12b21
C41=a41b11+a42b21
c44=a41b14+a42b24
矩阵相乘的注意事项:

向量与矩阵乘法
如下图后面两个是无定义的乘法,因为他们不符合可以进行计算的规则。

注意事项:

矩阵与向量的变换
可以把向量的三维分别和该方向的方向向量相乘然后相加。

将一个向量v和一个用基向量组成的矩阵M相乘得到一个新的向量a,那么可以说明vM=a,是矩阵M把v向量转换成了a向量,说明转换和乘法是对等的。
基向量:比较复杂。。。

将方向向量和一个矩阵相乘会发现和上面的乘法相似,矩阵的每一行都可以理解为是一个基础的方向向量。


浙公网安备 33010602011771号