算法提高课 第四章 数据结构之树状数组
一、介绍
功能
- 快速求前缀和 O(logn)
- 修改某一个数 O(logn)
原理

c[x]:以x结尾的长度lowbit(x)的所有数的和

父节点找所有子节点(求和操作):c[x] = a[x] + c[x-1] + ... + c[lowbit(x-1)],x为偶数时,每一次去掉最后一个1;x为奇数时,没有子节点
子节点找父节点(修改操作):p = x + lowbit(x),修改当前结点时,一连串的与该结点有关的父节点都要被修改
建立
题目
241. 楼兰图腾

思路:个数统计+树状数组(O(nlogn))
- y1~yn是1到n的一个全排列,对于某个位置的数而言,左边比它大的数的个数与右边比它大的数的个数的乘积就是组成'V'型的个数。
- 同理,左边比它小的数的个数与右边比它小的数的个数的乘积就是组成'^'型的个数。
- 因此,我们可以维护一个lower和upper数组,lower[i]表示比a[i]小的个数,upper[i]表示比a[i]大的个数。从左到右,边统计边查询,这样lower和upper就表示某个数左边比它大或小的数的个数。使用树状数组可以快速求出某个区间的和与修改某个数,c[x]来表示x出现的次数,sum(n)-sum(x)表示比x大的数的个数,sum(x-1)表示小于x的数的个数。
- 同理,从右往左边统计边查询,可以处理处某个数右边比它大或小的数的个数。
题解
#include <iostream>
#include <cstring>
#include <algorithm>
using namespace std;
typedef long long LL;
const int N = 2e5 + 20;
int n;
int a[N];
int tr[N];
int lower[N],upper[N];
inline int lowbit(int x)
{
return x & -x;
}
void add(int x,int c)
{
for(int i = x;i<=n;i+=lowbit(i))
{
tr[i] += c;
}
}
LL sum(int x)
{
LL res = 0;
for(int i = x;i;i-=lowbit(i))
{
res += (LL)tr[i];
}
return res;
}
int main()
{
scanf("%d", &n);
for(int i = 1;i<=n;i++) scanf("%d", &a[i]);
for (int i = 1; i <= n; i ++ )
{
int x = a[i];
upper[i] = sum(n) - sum(x-1);//查询左边比a[i]大的数的个数
lower[i] = sum(x-1);//查询左边比a[i]小的数的个数
add(x,1);//添加a[i]
}
LL ans1 = 0,ans2 = 0;
memset(tr,0,sizeof tr); //清空线段树
for(int i = n;i>=1;i--)//从右往左求右边比a[i]大 or 小的数
{
int x = a[i];
ans1 += (LL)upper[i]*(sum(n) - sum(x));//左边大的乘以右边大的就是构成V的个数
ans2 += (LL)lower[i]*sum(x-1);//左边小的乘以右边小的就是构成^的个数
add(x,1);//添加a[i]
}
printf("%lld %lld\n",ans1,ans2);
return 0;
}
242. 一个简单的整数问题

思路:树状差分数组 O(nlogn)
- 题目中有区间修改,单点查询,符合差分数组的性质,而差分单点查询本质操作是求前缀和(O(n)),一定超时,因为差分的区间修改本质是单点修改,我们可以把差分数组构造成树状数组,使得所有操作为O(logn)的
题解
#include <iostream>
#include <cstring>
#include <algorithm>
using namespace std;
const int N = 1e5 + 10;
int tr[N];//差分树状数组:支持区间/单点查询,区间/单点修改
int n,m;
int lowbit(int x)
{
return x & -x;
}
void add(int x,int c)
{
for(int i = x;i<=n;i+=lowbit(i))
{
tr[i] += c;
}
}
int sum(int x)
{
int res = 0;
for(int i = x;i;i-=lowbit(i))
{
res += tr[i];
}
return res;
}
void insert(int l,int r,int c) //差分的插入操作均为单点修改,符合树状数组的性质
{
add(l,c);// tr[l] += c;
add(r+1,-c); //tr[r+1] -= c;
return;
}
int main()
{
scanf("%d%d", &n, &m);
for (int i = 1; i <= n; i ++ )
{
int x;
scanf("%d", &x);
insert(i,i,x);
}
while (m -- )
{
char op[2];
int l,r,d,x;
scanf("%s", &op);
if(op[0] == 'C')
{
scanf("%d%d%d", &l, &r,&d);
insert(l,r,d);
}
else
{
scanf("%d", &x);
cout<<sum(x)<<endl;//通过差分还原某个数的操作是区间求和,符合树状数组性质
}
}
return 0;
}
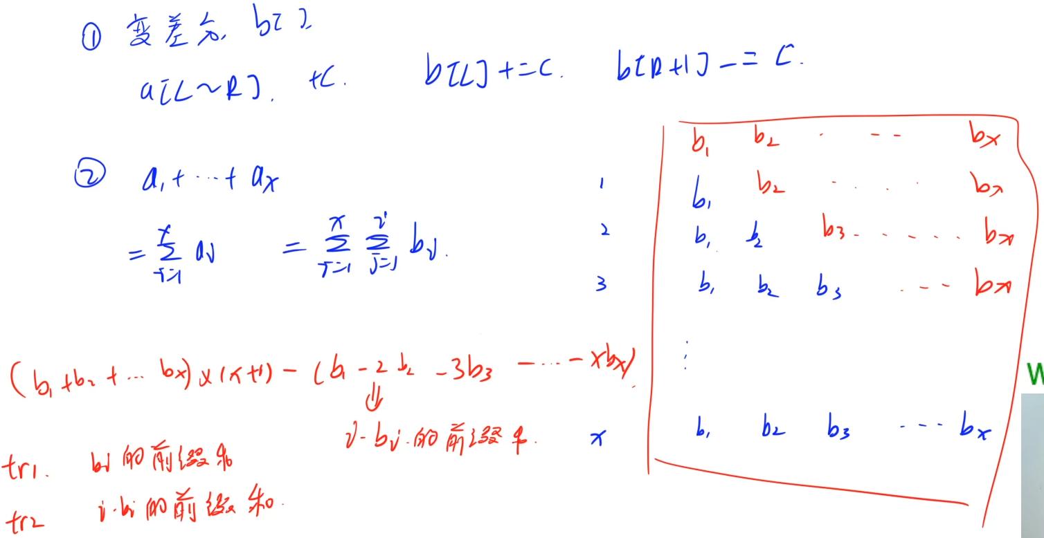
243. 一个简单的整数问题2
思路

- 题目中有区间修改,必须使用差分数组;有区间求和,必须使用树状数组
- 原数组的区间和相当于先对差分数组1~i求和还原出原数组,再对原数组求和,O(n^2)一定会超时
- 我们发现了对原数组1~n求和的公式
(n+1)*(a1+…+an) - (1*a1+…n*an),因此我们可以构造两个树状数组分别维护ai与i*ai的差分
题解
#include <iostream>
#include <cstring>
#include <algorithm>
using namespace std;
typedef long long LL;
const int N = 1e5 + 10;
int n,m;
LL tr1[N],tr2[N];
int lowbit(int x)
{
return x & -x;
}
void add(LL tr[],int x,LL c) //树状数组单点修改
{
for(int i = x;i<=n;i+=lowbit(i))
{
tr[i] += c;
}
}
LL sum(LL tr[],int x) //树状数组区间查询
{
LL res = 0;
for(int i = x;i;i-=lowbit(i))
{
res += (LL)tr[i];
}
return res;
}
void insert(int l,int r,LL c) //差分数组区间修改
{
add(tr1,l,c);
add(tr1,r+1,-c);
add(tr2,l,l*c);
add(tr2,r+1,-(r+1)*c);
}
LL get(int x) //求和公式
{
LL res = (LL)(x+1)*sum(tr1,x)-sum(tr2,x);
return res;
}
int main()
{
scanf("%d%d", &n, &m);
for(int i = 1;i<=n;i++)
{
int x;
scanf("%d", &x);
insert(i,i,x);
}
while (m -- )
{
char op[2];
int l,r,d;
scanf("%s", op);
if(op[0] == 'C')
{
scanf("%d%d%d", &l,&r,&d);
insert(l,r,d);
}
else
{
scanf("%d%d", &l,&r);
cout<< get(r) - get(l-1) <<endl;
}
}
return 0;
}
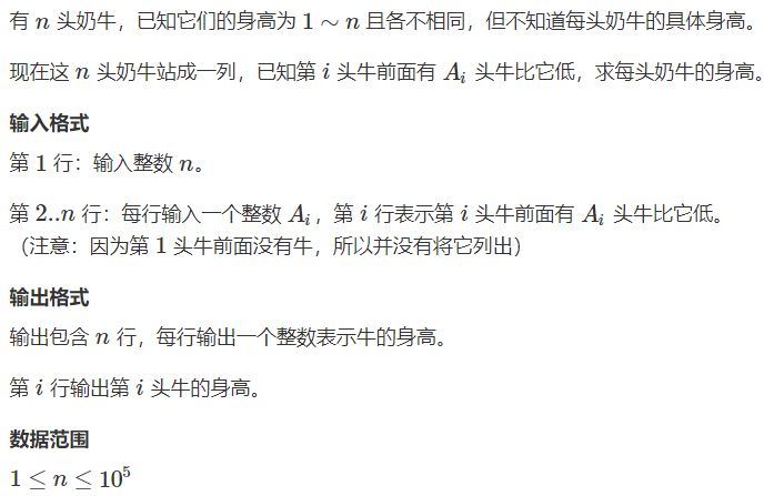
244. 谜一样的牛

思路:树状数组+二分 O(n(logn)^2)
先思考常规做法:数组A[i]表示前面有A[i]个数小于第i个位置的数,而A[i]是1-n的全排列,故我们可以A[i]从右往左遍历,对于第i个数而言,前i-1个数中有a[i]个比它小,即在这剩余的数中它是第a[i]+1小的,排序选出第a[i]+1个小的数,并从剩余的数中删除。时间复杂度为O(n^2logn),显然不符合要求。
树状数组优化:tr[i]表示当前i的个数(0 or 1),从右向左,二分查找出最小的x,使得sum[x]=a[i]+1,sum[x]表示1-x中有多少个剩余的数可用,因为是最小的x,所以tr[x]一定是1,且x一定是1-x中第a[i]+1小的数。x即为所求。最后一定要从tr中删除x
题解
#include <iostream>
#include <cstring>
#include <algorithm>
using namespace std;
const int N = 1e5 + 10;
int a[N],n;
int tr[N];//tr[x]:表示当前x的可用的个数
int ans[N];
int lowbit(int x)
{
return -x & x;
}
void add(int x,int c)
{
for(int i = x;i<=n;i+=lowbit(i))
{
tr[i] += c;
}
return;
}
int sum(int x)
{
int res = 0;
for(int i = x;i;i-=lowbit(i))
{
res += tr[i];
}
return res;
}
int main()
{
cin>>n;
for(int i = 2;i<=n;i++) //注意从2开始循环
{
cin>>a[i];
}
for(int i = 1;i<=n;i++) add(i,1); //初始化为1,可用
for(int i = n;i;i--)
{
int l = 1,r = n,x = a[i] + 1;
while(l<r) //二分找出最小的x,使得sum(x) = a[i] + 1
{
int mid = l+r>>1;
if(sum(mid) >= x) r = mid;
else l = mid + 1;
}
ans[i] = r;
add(r,-1); //删除x
}
for (int i = 1; i <= n; i ++ ) cout<<ans[i]<<endl;
return 0;
}

浙公网安备 33010602011771号