蓝桥杯 第五讲 树状数组和线段树 2D/3D差分
一、树状数组 下标从1开始
操作 O(logn)
- 单点修改: 给某个位置上的数加上一个数
- 区间查询:求某一个前缀和
离线做法:不支持修改
在线做法:支持修改
原理

层数的确定:x的二进制表示中末尾有几个0
c[x] = (x-lowbit(x),x]的和
lowbit(x):返回x的二进制表达式中最低位的1所对应的值
lowbit(6) = 2,因为(110)2中最低位(就是从右往左数的第二位)对应的数是21=2
1264. 动态求连续区间和
#include <iostream>
#include <cstring>
#include <algorithm>
using namespace std;
const int N = 100005;
int a[N],n,m;
int tr[N];//tr[x]表示(x-lowbit(x),x]的和
int k,x,y;
int lowbit(int x)
{
return x & -x;
}
void add(int x,int v) //第x的位置上加上一个数
{
for(int i = x;i <= n;i+=lowbit(i))
{
tr[i] += v;
}
}
int query(int x) //查询 1~x的前缀和
{
int res = 0;
for(int i = x;i>=1;i-=lowbit(i))
{
res += tr[i];
}
return res;
}
int main()
{
scanf("%d%d",&n,&m);
for (int i = 1; i <= n; i ++ ) //切记下标要从1开始
{
scanf("%d", &a[i]);
add(i,a[i]);
}
while (m -- )
{
scanf("%d%d%d",&k,&x,&y);
if(k==0)
{
cout<<query(y) - query(x-1)<<endl; //前缀和思想
}
else add(x,y);
}
return 0;
}
1265. 数星星
由于坐标按照y升序给出,故当前星星的坐标一定大于等于之前任何星星,故需要统计小于等于当前星星的x的个数,即为左下方星星个数
#include <iostream>
#include <cstring>
#include <algorithm>
using namespace std;
const int N = 32005;
int n,x,y;
int tr[N];//x坐标小于等于i的星星的个数
int level[N];//不同等级星星的个数
int lowbit(int x)
{
return x & -x;
}
void add(int t,int x)
{
for(int i=t;i<=N;i+=lowbit(i)) //注意:此处范围是[t,N],x的取值会比n大,WA了好几发
{
tr[i] += x;
}
}
int query(int t)
{
int sum = 0;
for(int i=t;i>=1;i-=lowbit(i))
{
sum += tr[i];
}
return sum;
}
int main()
{
scanf("%d",&n);
for(int i=1;i<=n;i++) //由于坐标按照y升序给出,故当前星星的坐标一定大于等于之前任何星星,故需要统计小于等于当前
//星星的x的个数,即为左下方星星个数
{
scanf("%d%d", &x, &y);
x++;//将x映射到1~N+1,便于使用树状数组
level[query(x)]++;
add(x,1);
}
for (int i = 0; i < n; i ++ ) //注意:此处范围为0~n-1,不可能有等级为n的星星
{
cout<<level[i]<<endl;
}
return 0;
}
二、线段树
以求区间和为例

核心操作 O(logn)
1. 单点修改
递归地进行修改,只要此区间包含要修改的点,就修改区间的sum
2. 区间查询
递归地查询,只要该区间的[l,r]被目标区间完全包含,则累加并回溯,否则继续向下递归查询。
查询次数小于等于4logn

主要函数
pushup用子节点信息更新当前结点信息
build在一段区间上初始化线段树
modify修改
query查询
pushdown懒标记
1264. 动态求连续区间和
#include <iostream>
#include <cstring>
#include <algorithm>
using namespace std;
const int N = 1e5+10;
int n,m,k,a,b;
int w[N];
struct Node
{
int l;
int r;
int sum;
}tr[N*4]; //线段树最大结点个数为4N
void pushup(int u) //用左右儿子结点信息更新根结点信息
{
tr[u].sum = tr[2*u].sum + tr[2*u+1].sum;
}
void build(int u,int l,int r) //形参解释:u表示根结点,l,r表示原始数据区间的左右端点
{
if(l==r) tr[u] = {l,r,w[r]};//区间元素个数为1,是叶结点,直接赋值返回
else
{
tr[u] = {l,r};//注意:此处一定要赋初值
int mid = l+r>>1;
build(u*2,l,mid),build(u*2+1,mid+1,r);//递归建立左右儿子区间
pushup(u);//一定不要忘记更新根结点sum值,将信息向上传递
}
}
int query(int u,int l,int r)//形参解释:u表示根结点,l,r表示目标区间的左右端点
{
if(tr[u].l >= l && tr[u].r <= r) return tr[u].sum; //如果当前区间被目标区间完全包含,则返回当前区间sum
int mid = tr[u].l+tr[u].r>>1;
int sum = 0;
if(l <= mid) sum += query(u*2,l,r); //如果目标区间的左边界≤mid,说明和左半边有交集
if(r > mid) sum += query(u*2+1,l,r);//如果目标区间的右边界>mid,说明和右半边有交集
return sum;
}
void modify(int u,int x,int v) //形参解释:u表示根结点,x表示元素下标,v表示要添加的值
{
if(tr[u].l == tr[u].r) //若走到叶结点,说明已经找到x对应树中的位置,直接修改即可
{
tr[u].sum += v;
}
else
{
int mid = tr[u].l + tr[u].r >> 1;
if(x <= mid) modify(u*2,x,v);//如果和左半边有交集,就去左半边修改
else modify(u*2+1,x,v);//如果和右半边有交集,就去右半边修改
pushup(u);//注意:最后一定要用儿子结点信息更新根结点信息
}
}
int main()
{
scanf("%d%d", &n,&m);
for(int i = 1;i<=n;i++)
{
scanf("%d", &w[i]);
}
build(1,1,n);
while (m -- )
{
scanf("%d%d%d",&k,&a,&b);
if(k==0)
{
cout<<query(1,a,b)<<endl;
}
else modify(1,a,b);
}
return 0;
}
#include <iostream>
#include <cstring>
#include <algorithm>
#include <climits>
using namespace std;
const int N = 1e5 + 10;
int w[N];
int n,m,x,y;
struct Node
{
int l;
int r;
int Max;
}tr[N*4];
inline void build(int u,int l,int r)
{
if(l==r) tr[u] = {l,r,w[r]};
else
{
tr[u] = {l,r};
int mid = l+r>>1;
build(u<<1,l,mid),build(u<<1|1,mid+1,r);
tr[u].Max = max(tr[u<<1].Max,tr[u<<1|1].Max);
}
}
inline int query(int u,int l,int r)
{
if(tr[u].l >= l && tr[u].r <= r) return tr[u].Max;
int Max = INT_MIN;
int mid = tr[u].l + tr[u].r>>1;
if(l <= mid) Max = max(Max,query(u<<1,l,r));
if(r > mid) Max = max(Max,query(u<<1|1,l,r));
return Max;
}
int main()
{
scanf("%d%d", &n, &m);
for (int i = 1; i <= n; i ++ )
{
scanf("%d", &w[i]);
}
build(1,1,n);
while (m -- )
{
scanf("%d%d",&x,&y);
printf("%d\n",query(1,x,y));
}
return 0;
}
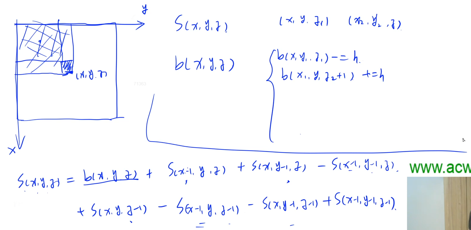
三、2D/3D差分
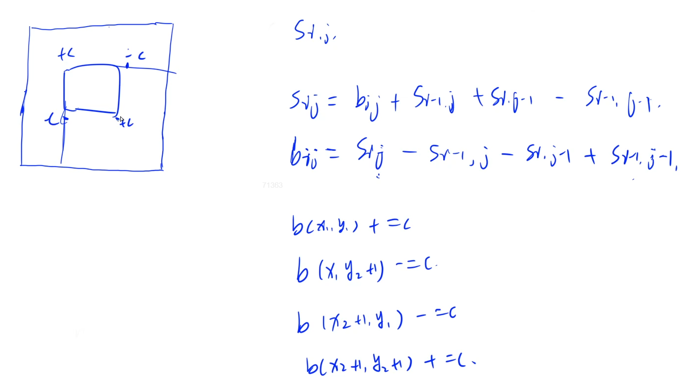
二维差分
#include <iostream>
#include <cstring>
#include <algorithm>
using namespace std;
const int N = 1005;
int b[N][N];
int n,m,q;
void insert(int x1,int y1,int x2,int y2,int c) //x2,y2一定要加1
{
b[x1][y1] += c;
b[x2+1][y2+1] += c;
b[x1][y2+1] -= c;
b[x2+1][y1] -= c;
}
int main()
{
scanf("%d%d%d", &n, &m,&q);
int c;
for (int i = 1; i <= n; i ++ )
{
for (int j = 1; j <= m; j ++ )
{
scanf("%d", &c);
insert(i,j,i,j,c);
}
}
while (q -- )
{
int x1,y1,x2,y2;
scanf("%d%d%d%d%d", &x1, &y1,&x2,&y2,&c);
insert(x1,y1,x2,y2,c);
}
for (int i = 1; i <= n; i ++ )//求前缀和,即将差分矩阵转化为原矩阵
{
for (int j = 1; j <= m; j ++ )
{
b[i][j] = b[i-1][j] + b[i][j-1] - b[i-1][j-1] + b[i][j];
}
}
for (int i = 1; i <= n; i ++ )
{
for (int j = 1; j <= m; j ++ )
{
printf("%d ",b[i][j]);
}
puts("");
}
return 0;
}
三维差分

公式中对于S来说,奇数个减一的符号为正,偶数个减一的符号为负
四、习题
1215. 小朋友排队
本题需要求每个数的逆序对的个数,然后逐一使用等差数列求和公式算出答案即可,求逆序对的数量时需要用到线段树
#include <iostream>
#include <cstring>
#include <algorithm>
using namespace std;
typedef long long LL;
const int N = 1e6 + 10;
int h[N],tr[N],n;//线段树记录每个数的个数
int sum[N];
int lowbit(int x)
{
return x & -x;
}
int query(int p)
{
int sum = 0;
for(int i=p;i>=1;i-=lowbit(i))
{
sum += tr[i];
}
return sum;
}
void add(int p,int x)
{
for(int i=p;i<=N;i+=lowbit(i))
{
tr[i]+=x;
}
}
int main()
{
scanf("%d", &n);
for (int i = 0; i < n; i ++ )
{
scanf("%d", &h[i]);
++h[i];//计算前缀和,需要映射到1~N+1
}
for(int i=0;i < n;i++) //求每个数前面有多少个数比它大
{
sum[i] += query(N-1) - query(h[i]);
add(h[i],1);
}
memset(tr,0,sizeof tr);//记得将线段树清零
for (int i = n-1; i >=0 ; i -- )//求每个数后面有多少个数比它小
{
sum[i] += query(h[i]-1);
add(h[i],1);
}
LL ans = 0;//答案可能爆int
for(int i = 0;i<n;i++)
{
//cout<<sum[i]<<" ";
ans += (LL)(1+sum[i])*sum[i]/2;
}
cout << ans<<endl;
return 0;
}
#include <iostream>
#include <cstring>
#include <algorithm>
using namespace std;
typedef long long LL;
const int N = 10005;
int x1,y1,x2,y2,n;
LL ans;
bool g[N][N];
int main()
{
scanf("%d", &n);
for (int i = 0; i < n; i ++ )
{
scanf("%d%d%d%d", &x1, &y1,&x2,&y2);
for(int j=x1;j<x2;j++)
{
for(int k=y1;k<y2;k++)
{
if(!g[j][k])
{
g[j][k] = 1;
++ans;
}
}
}
}
cout << ans << endl;
return 0;
}


浙公网安备 33010602011771号