11图
为什么要有图
-
前面我们学了线性表和树
-
线性表局限于一个直接前驱和一个直接后继的关系
-
树也只能有一个直接前驱也就是父节点
-
当我们需要表示多对多的关系时, 这里我们就用到了图
图的举例说明
图是一种数据结构,其中结点可以具有零个或多个相邻元素。两个结点之间的连接称为边。 结点也可以称为顶点。如图:


图的常用概念
-
顶点(vertex)
-
边(edge)
-
路径
-
无向图(1)
-
有向图(2)
-
带权图(3)
(1)无向图: 顶点之间的连接没有方向,比如A-B,
即可以是 A-> B 也可以 B->A .
路径: 比如从 D -> C 的路径有
-
D->B->C
-
D->A->B->C

(2)有向图: 顶点之间的连接有方向,比如A-B,
只能是 A-> B 不能是 B->A .

(3)带权图:这种边带权值的图也叫网.

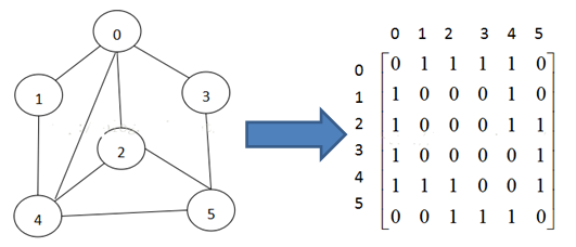
图的表示方式
图的表示方式有两种:二维数组表示(邻接矩阵); 链表表示(邻接表)。
邻接矩阵

解析:0与1连接a[0] [1]=1;
邻接表
1. 邻接矩阵需要为每个顶点都分配n个边的空间,其实有很多边都是不存在,会造成空间的一定损失.
2. 邻接表的实现只关心存在的边,不关心不存在的边。因此没有空间浪费,邻接表由数组+链表组成。
说明:
-
标号为0的结点的相关联的结点为 1 2 3 4
-
标号为1的结点的相关联结点为0 4,
-
标号为2的结点相关联的结点为 0 4 5
-
....

图的快速入门案例
-
要求: 代码实现如下图结构.
-
思路分析 :
(1)存储顶点String 使用 ArrayList
(2) 保存矩阵 int[] [] edges 表示边的关系

A B C D E
**A 0 1 1 0 0 **
**B 1 0 1 1 1 **
**C 1 1 0 0 0 **
**D 0 1 0 0 0 **
**E 0 1 0 0 0 **
说明 :
(1) 1 表示能够直接连接
(2) 0 表示不能直接连接
图的深度优先遍历介绍
图遍历介绍
所谓图的遍历,即是对结点的访问。一个图有那么多个结点,如何遍历这些结点,需要特定策略,一般有两种访问策略: (1)深度优先遍历 (2)广度优先遍历
图的深度优先搜索(Depth First Search) 。
-
深度优先遍历,从初始访问结点出发,初始访问结点可能有多个邻接结点,深度优先遍历的策略就是首先访问第一个邻接结点,然后再以这个被访问的邻接结点作为初始结点,访问它的第一个邻接结点, 可以这样理解:每次都在访问完当前结点后首先访问当前结点的第一个邻接结点。
-
我们可以看到,这样的访问策略是优先往纵向挖掘深入,而不是对一个结点的所有邻接结点进行横向访问。
-
显然,深度优先搜索是一个递归的过程
深度优先遍历算法步骤
- (1) 访问初始结点v,并标记结点v为已访问。
- (2) 查找结点v的第一个邻接结点w。
- (3)若w存在,则继续执行4,如果w不存在,则回到第1步,将从v的下一个结点继续。
- (4) 若w未被访问,对w进行深度优先遍历递归(即把w当做另一个v,然后进行步骤123)。
- (5) 查找结点v的w邻接结点的下一个邻接结点,转到步骤3。
看一个具体案例分析:

A B C D E
**A 0 1 1 0 0 **
**B 1 0 1 1 1 **
**C 1 1 0 0 0 **
**D 0 1 0 0 0 **
**E 0 1 0 0 0 **
说明 :
(1) 1 表示能够直接连接
(2) 0 表示不能直接连接




广度优先搜索
思想:
从图的某一结点出发,首先依次访问该结点的所有邻结点v1,v2...vn再按这些顶点被访问的先后次序依次访问与它们相邻接的所有未被访问的顶点
重复此过程,直至所有顶点均被访问为止。

广度优先遍历算法步骤
1)访问初始结点v并标记结点v为已访问。
2)结点v入队列
3)当队列非空时,继续执行,否则算法结束。
4)出队列,取得队头结点u。
5)查找结点u的第一个邻接结点w。
6)若结点u的邻接结点w不存在,则转到步骤3;否则循环执行以下三个步骤:
6.1 若结点w尚未被访问,则访问结点w并标记为已访问。
6.2 结点w入队列
6.3 查找结点u的继w邻接结点后的下一个邻接结点w,转到步骤6。
广度优先举例说明

队列:
首先是1进队列,然后出队列。
其次是2,3一次进队列。然后2出队列,4,5依次进队列。此时队列中3,4,5.
然后3出队列,6进队列。此时队列中4,5,6.
......

浙公网安备 33010602011771号