分治算法:剑指 Offer 36. 二叉搜索树与双向链表
题目描述:
输入一棵二叉搜索树,将该二叉搜索树转换成一个排序的循环双向链表。要求不能创建任何新的节点,只能调整树中节点指针的指向。
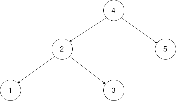
为了让您更好地理解问题,以下面的二叉搜索树为例:
我们希望将这个二叉搜索树转化为双向循环链表。链表中的每个节点都有一个前驱和后继指针。
对于双向循环链表,第一个节点的前驱是最后一个节点,最后一个节点的后继是第一个节点。
下图展示了上面的二叉搜索树转化成的链表。“head” 表示指向链表中有最小元素的节点。

特别地,我们希望可以就地完成转换操作。当转化完成以后,树中节点的左指针需要指向前驱,树中节点的右指针需要指向后继。
还需要返回链表中的第一个节点的指针。


使用中序遍历访问树的各节点 cur ;并在访问每个节点时构建 cur 和前驱节点 pre 的引用指向;中序遍历完成后,最后构建头节点和尾节点的引用指向即可。

复杂度分析:
时间复杂度 O(N) : N 为二叉树的节点数,中序遍历需要访问所有节点。
空间复杂度 O(N) : 最差情况下,即树退化为链表时,递归深度达到 N,系统使用 O(N) 栈空间。
class Solution{ Node pre,head; public Node treeToDoublyList(Node root){ if(root==null) return null; dfs(root); head.left = pre; pre.right = head; return head; } void dfs(Node cur){ if(cur==null) return; dfs(cur.left); if(pre!=null) pre.right = cur; else head=cur; cur.left = pre; pre = cur; dfs(cur.right); } }

浙公网安备 33010602011771号