树:剑指 Offer 07. 重建二叉树
题目描述:
输入某二叉树的前序遍历和中序遍历的结果,请构建该二叉树并返回其根节点。
假设输入的前序遍历和中序遍历的结果中都不含重复的数字。
示例 1:

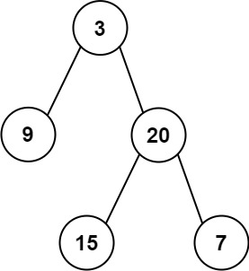
Input: preorder = [3,9,20,15,7], inorder = [9,3,15,20,7] Output: [3,9,20,null,null,15,7]
示例 2:
Input: preorder = [-1], inorder = [-1]
Output: [-1]
限制:
0 <= 节点个数 <= 5000
解题思路:
前序遍历性质: 节点按照 [ 根节点 | 左子树 | 右子树 ] 排序。
中序遍历性质: 节点按照 [ 左子树 | 根节点 | 右子树 ] 排序。
以题目示例为例:
·前序遍历划分 [ 3 | 9 | 20 15 7 ]
·中序遍历划分 [ 9 | 3 | 15 20 7 ]
根据以上性质,可得出以下推论:
1.前序遍历的首元素 为 树的根节点 node 的值。
2.在中序遍历中搜索根节点 node 的索引 ,可将 中序遍历 划分为 [ 左子树 | 根节点 | 右子树 ] 。
3.根据中序遍历中的左(右)子树的节点数量,可将 前序遍历 划分为 [ 根节点 | 左子树 | 右子树 ] 。
通过以上三步,可确定 三个节点 :1.树的根节点、2.左子树根节点、3.右子树根节点。
根据「分治算法」思想,对于树的左、右子树,仍可复用以上方法划分子树的左右子树。



class Solution { int[] preorder; HashMap<Integer, Integer> dic = new HashMap<>(); public TreeNode buildTree(int[] preorder, int[] inorder) { this.preorder = preorder; for(int i = 0; i < inorder.length; i++) dic.put(inorder[i], i); return recur(0, 0, inorder.length - 1); } TreeNode recur(int root, int left, int right) { if(left > right) return null; // 递归终止 TreeNode node = new TreeNode(preorder[root]); // 建立根节点 int i = dic.get(preorder[root]); // 划分根节点、左子树、右子树 node.left = recur(root + 1, left, i - 1); // 开启左子树递归 node.right = recur(root + i - left + 1, i + 1, right); // 开启右子树递归 return node; // 回溯返回根节点 } }

浙公网安备 33010602011771号