LeetCode面试题 02.07. 链表相交
题目描述:
给你两个单链表的头节点 headA 和 headB ,请你找出并返回两个单链表相交的起始节点。如果两个链表没有交点,返回 null 。
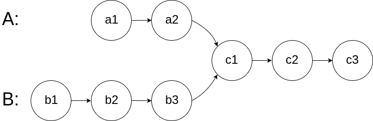
图示两个链表在节点 c1 开始相交:

题目数据 保证 整个链式结构中不存在环。
注意,函数返回结果后,链表必须 保持其原始结构 。
示例 1:

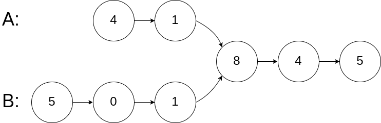
输入:intersectVal = 8, listA = [4,1,8,4,5], listB = [5,0,1,8,4,5], skipA = 2, skipB = 3 输出:Intersected at '8' 解释:相交节点的值为 8 (注意,如果两个链表相交则不能为 0)。 从各自的表头开始算起,链表 A 为 [4,1,8,4,5],链表 B 为 [5,0,1,8,4,5]。 在 A 中,相交节点前有 2 个节点;在 B 中,相交节点前有 3 个节点。
示例 2:

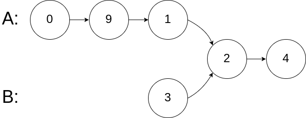
输入:intersectVal = 2, listA = [0,9,1,2,4], listB = [3,2,4], skipA = 3, skipB = 1 输出:Intersected at '2' 解释:相交节点的值为 2 (注意,如果两个链表相交则不能为 0)。 从各自的表头开始算起,链表 A 为 [0,9,1,2,4],链表 B 为 [3,2,4]。 在 A 中,相交节点前有 3 个节点;在 B 中,相交节点前有 1 个节点。
示例 3:

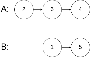
输入:intersectVal = 0, listA = [2,6,4], listB = [1,5], skipA = 3, skipB = 2 输出:null 解释:从各自的表头开始算起,链表 A 为 [2,6,4],链表 B 为 [1,5]。 由于这两个链表不相交,所以 intersectVal 必须为 0,而 skipA 和 skipB 可以是任意值。 这两个链表不相交,因此返回 null 。
思路:
简单来说,就是求两个链表交点节点的指针。 这里同学们要注意,交点不是数值相等,而是指针相等。
为了方便举例,假设节点元素数值相等,则节点指针相等。
看如下两个链表,目前curA指向链表A的头结点,curB指向链表B的头结点:

求出两个链表的长度,并求出两个链表长度的差值,然后让curA移动到,和curB 末尾对齐的位置,如图:

此时我们就可以比较curA和curB是否相同,如果不相同,同时向后移动curA和curB,如果遇到curA == curB,则找到交点。
否则循环退出返回空指针。
/** * Definition for singly-linked list. * public class ListNode { * int val; * ListNode next; * ListNode(int x) { * val = x; * next = null; * } * } */ public class Solution { public ListNode getIntersectionNode(ListNode headA, ListNode headB) { ListNode curA = headA; ListNode curB = headB; int lenA = 0, lenB = 0; while (curA != null) { // 求链表A的长度 lenA++; curA = curA.next; } while (curB != null) { // 求链表B的长度 lenB++; curB = curB.next; } curA = headA; curB = headB; // 让curA为最长链表的头,lenA为其长度 if (lenB > lenA) { //1. swap (lenA, lenB); int tmpLen = lenA; lenA = lenB; lenB = tmpLen; //2. swap (curA, curB); ListNode tmpNode = curA; curA = curB; curB = tmpNode; } // 求长度差 int gap = lenA - lenB; // 让curA和curB在同一起点上(末尾位置对齐) while (gap-- > 0) { curA = curA.next; } // 遍历curA 和 curB,遇到相同则直接返回 while (curA != null) { if (curA == curB) { return curA; } curA = curA.next; curB = curB.next; } return null; } }

浙公网安备 33010602011771号