软件工程第二次作业
| 博客信息 | 沈阳航空航天大学计算机学院2020软件工程作业 |
|---|---|
| 作业要求 | https://edu.cnblogs.com/campus/sau/Computer1701-1705/homework/10583 |
| 课程目标 | 熟悉一个“高质量”软件的开发过程 |
| 作业目标 |
单元测试练习 |
一、题目
给定n个整数(可能为负数)组成的序列a[1],a[2],a[3],…,a[n],求该序列如a[i]+a[i+1]+…+a[j]的子段和的最大值。当所给的整数均为负数时定义子段和为0,依此定义,所求的最优值为: Max{0,a[i]+a[i+1]+…+a[j]},1<=i<=j<=n 。例如,当(a[1],a[2],a[3],a[4],a[5],a[6])=(-2,11,-4,13,-5,-2)时,最大子段和为20。
二、程序代码
三、程序运行结果
示例1:

示例2:

示例3:

四、测试
本次作业选择用C语言编写,利用VS2019自带的单元测试工具进行单元测试,测试代码点这里
五、测试结果

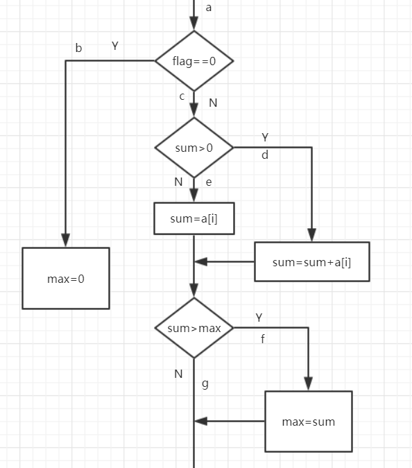
六、判定覆盖测试用例

应执行路径 ab、aceg、acef、acdg、acdf
1.示例{-1 -2 -3 -4 -5 -6 } 选择用例 ab
2.示例{-1,2,-1,3,-2}选择用例 aceg
七、工作记录
| 项目 | 记录结果 |
|---|---|
| 日期 | 2020.4.7 |
| 开始时间 | 11:00 |
| 结束时间 | 14:29 |
| 源代码编码行数 | 40 |
| 测试代码编码行数 | 54 |
| 错误数量 | 1 |
| 错误1 | 没考虑第一个数是负数的情况; |
| 修改时间 | 2分钟 |
浙公网安备 33010602011771号