拉格朗日对偶理解
在约束最优化问题中,常常利用拉格朗日对偶性(Lagrange duality)将原始问题转换为对偶问题,通过解对偶问题而得到原始问题的解。这是因为:
1)对偶问题的对偶是原问题;
2)无论原始问题与约束条件是否是凸的,对偶问题都是凹问题,加个负号就变成凸问题了,凸问题容易优化。
3)对偶问题可以给出原始问题一个下界;
4)当满足一定条件时,原始问题与对偶问题的解是完全等价的;
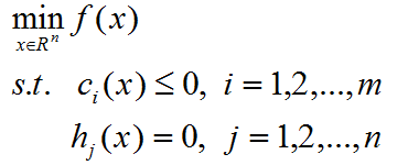
原始问题:
假设f(x),ci(x),hj(x)是定义在Rn上的联系可微函数,考虑约束条件下最优化问题:

称此约束最优化问题为原始问题。
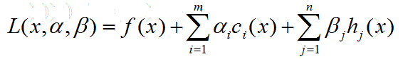
广义拉格朗日函数:

这里,x=(x1,x2,...,xn), α,β是拉格朗日乘子。
Lagrange对偶函数:
定义拉格朗日对偶函数或者对偶函数g为拉格朗日函数关于x取得的最小值,即对α,β,有:

通俗理解就是每确定一组(α,β),就要找到一个x使得L最小,不同的(α,β)对应不同的g函数值。
对偶函数与原问题的关系:

所以对偶函数是原问题的最优值下界,虽然不等式成立,但是如果α<0,并且让α趋近于负无穷,这个时候g(α,β)=-∞,虽然也满足不等式,但是此时没有任何意义。所以只有当α≥0,这个时候g(α,β)>-∞时,对偶函数才能给出原目标函数一个非平凡有意义的下界,称此条件下的(α,β)是对偶可行的。图示如下:

在图中,实线代表的是目标函数f(x),而虚线代表的是约束条件c(x),彩色的点线代表λ取不同值的时候对应的拉格朗日函数L。我们可以看到,在约束条件可行(c(x)≤0)的区间内,拉格朗日函数都是小于目标函数的。在可行区间内,目标函数的最值将在x = -0.46处取得p∗=1.54。
为什么对偶函数一定是凹函数呢?
其实L可以理解为一个以固定x带入c(x)和h(x)作为常数值系数,α、β作为变量的仿射函数。
所谓仿射函数,就是f(x)=a*x+b形式,其实就是线性函数了。
所以,g(α,β)为很多个仿射函数的逐个x取值点取最小值:
L=Aα+Bβ+C 其中:A=c(x) B=h(x) C=f(x)
例如:L=2α+3β+1,L=α+2β+4, L=5α+β+3等等。便于理解,先不考虑β,这样大致展示的图像就是如下:

里面的每一条直线,都是以某一固定x作为系数,α作为变量的线性函数的直线,也就是当x固定时候,随着α的变化,L的值不断发生变化。
当我们沿着L所在轴竖着切下来的时候,也就是图中个蓝色线,这个时候其实就是α固定,而对应不同的x情况下,L值的一个变化范围。由图可知,红色线就是每次固定α,而找到一个x,使得L最小的走势线,也就是g(α,β)的函数曲线,如下图:

凹折线就是g(α,β)的曲线,水平虚线就是原问题的最优函数值P*。由此可知,无论原问题和约束条件是什么样的,对偶函数都是凹函数,且都小于等于原问题最优值。
Lagrange对偶问题:
对于任意一组(α,β),其中α≥0,拉格朗日对偶函数给出了原问题的最优值的一个下界,因此,我们可以得到和参数α,β相关的一个下界。一个自然问题是:从Lagrange函数能得到的最好下界是什么?可以将这个问题表述为优化问题:

上述问题就称之为Lagrange对偶问题。
前面讲只有当α≥0,g(α,β)>-∞时此时才有意义,满足这样一组条件的(α,β)是上述对偶问题的一个可行解。如果一个解(α*,β*)是上述对偶问题的最优解,则称解(α*,β*)是对偶最优解或者最优Lagrange乘子。
此时对偶问题是一个凸优化问题,这是因为极大化目标函数是一个凹函数,且约束集合是一个凸集。
弱对偶
Lagrange对偶问题的最优值,我们用d*表示,根据定义,这是通过Lagrange函数得到的原问题最优值p*的最好下界。特别地,我们有下面简单但是非常重要的不等式

即使原问题不是凸问题,上述不等式也成立,这个性质称为弱对偶性。
强对偶性
与弱对偶性相对应的有一个强对偶性(strong duality) ,强对偶即满足:

强对偶是一个非常好的性质,因为在强对偶成立的情况下,可以通过求解对偶问题来得到原始问题的解,在 SVM 中就是这样做的。当然并不是所有的对偶问题都满足强对偶性 ,在 SVM 中是直接假定了强对偶性的成立,其实只要满足一些条件,强对偶性是成立的,比如说 Slater 条件与KKT条件。
KKT条件:
假设x*是原始问题的最优解,α*和β*是对偶问题的最优解。如果强对偶成立,那么原问题最优解和对偶问题最优解必须满足KKT条件,属于充分必要条件。


浙公网安备 33010602011771号