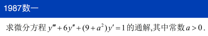
微分方程
微分方程解的性质与结构
一阶

一阶微分方程只能有一个任意常数C,二阶微分方程才能有两个任意常数C
齐次特解线性组合任然是齐次解
\(y1-y2\) 一定非零,A、B都有可能为0

tag:wa1
√

二阶
结论也也行


判断两其次解是否线性相关:两者相除看是否为常数

也可以暴力算,一阶二阶导数全部求出来,把a、b、c全搞出来
tag:hard
√

重点题
- 硬算不丢人
- 也可以令 y = C(常数),可知y=C为其次一特解,\(\frac{x^{-3}}{C}\) 不为常数,两者线性无关
tag:wa1
√

利用线性无关判别
tag:wa1\hard
×

结论
或者和题解一样

叠加定理

系数为1为非齐次特解
tag:hard
√

高阶齐次

tag:wa1/hard
三角函数有一个特解占两个根 0+i/0-i
√


tag:wa1/hard

一阶计算
基本类型
x、y线性组合(加减)换元



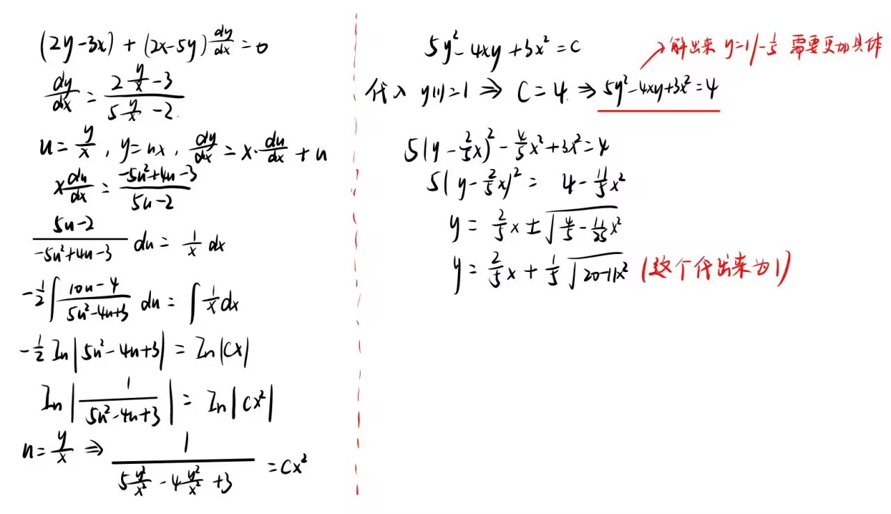
\(\frac{y}{x}\) 换元

套公式

非齐次项为分段函数(系数含绝对值包含在内)
隐含了条件,注意能不带绝对值就不带绝对值(因此多用公式,而不是分离参数法)

伯努利方程(了解)
非齐次项本来是 q(x),现在含 y,把含 y 项除过去凑微分

口口y'
凑微分思想
- 凑
- 把口除过去
2yy'



xy'
- 转化为\(\frac{y}{x}\)

三角y'



其他y'
这两题都可以当作伯努利做
伯努利:非齐次项本来是 q(x),现在含 y,把含 y 项除过去凑微分





口口dx口口dy与其他类型
简单分离
齐次
以下三个方法搞懂就够用了
方法:
- 齐次
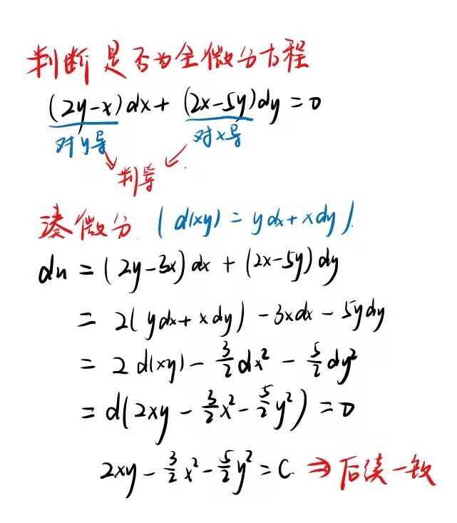
- 判断是否为全微分方程
- 偏积分
- 凑微分,核心式子 \(d(uv)=udv+vdu\)





这题仅做凑微分训练
注意:要先验证是全微分方程才能凑微分,答案省略了验证过程

y'形式和\(\frac{dy}{dx}\) 等价
tag

非齐次/无法判断是否齐次(一阶线性)
方法:
- 转换为y',套公式
- 判断是否为全微分方程
- 偏积分
- 凑微分,核心式子 \(d(uv)=udv+vdu\)



省略了验证全微分


三种方法,但是只训练凑微分
省略验证全微分

含根号下的平方和
- 利用平方差化简
- 两式子消元
- 特别注意 x 化入根号的正负号问题


交换 x、 y 地位!!!
- **y的次方高,\(\frac{dx}{dy}\)
- 比不出谁次方高,都试试
- 全微分
y的次方高,\(\frac{dx}{dy}\)
易错,解出来有两个符合条件的,要按照题目要求进行选择

比不出谁次方高,都试试





tag


含多个三角

含\(y^x\)
复杂的想凑微分


二阶计算
二阶常系数线性齐次


二阶常系数线性非齐次
只设不求


非齐次项为幂指函数


非齐次项为三角函数

非齐次项含有未知数




非齐次项为分段函数

齐次项未知
含未知式子的直接代入同类型
^9956f1
二阶变系数
二阶可降阶
不显含y




p次方高,除dp除p
不显含x


欧拉方程



学有余力再看补充 2:44:50
https://www.bilibili.com/video/BV1CpM8ztEaX?t=9889.8
下述结论只能小题用


用上面的结论做

反函数




三角换元(欧拉)
引入 t 消掉 x

引入t消去x



其他
引入u消掉y

含有未知式子的直接代入同类型]
^6a03af

套欧拉方程结论

高阶常系数线性齐次方程

齐次




非齐次
- 齐次按高阶来
- 非齐次项特解按照二阶来就行




已知解反求微分方程
一阶
- 给特解代入方程
- 运用结论推导齐次、非齐次解代入
- 由方程直接求导
- 消C这样的变量
运用结论推导齐次、非齐次解代入

设出方程结构
^51c8ff
- 消C这样的变量

想办法消掉变化的元素

二阶
- 由通解求导
- 由解的性质反推
- 代入


由方程直接求导得到类似题目
y'那里把C放一边其他的放在另外一边求导,消掉C

综合的一题






三阶以以上





处理微分方程的解
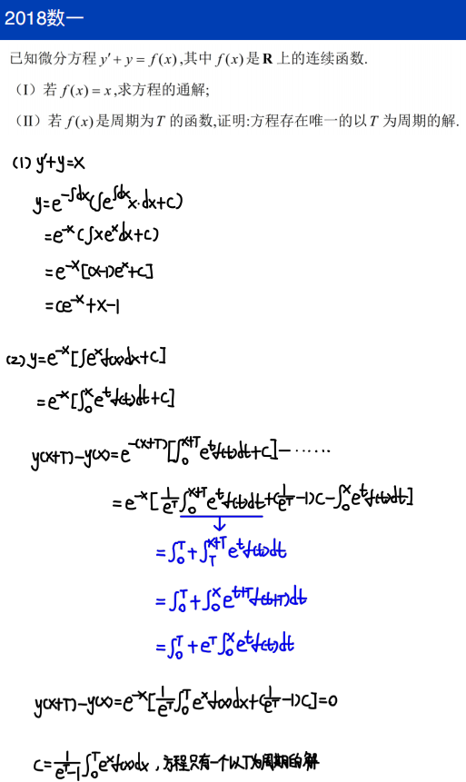
微分方程解的有界性、奇偶性、周期性
大题考积分结合周期性的证明

转不定积分为变限积分

显然只有解的结构为三角函数时,才可能在所有位置有界,若带\(e^x\) 必定有一端无穷大,选C



???

微分方程解的极限及渐近线


微分方程解的反常积分(结论)
一个重要结论
\(\Large 微分方程y''+Ay'+By=0,任一解 y(x) ,反常积分 \int_{0}^{+\infty} y(x) \, dx 均收敛,A、B均为常数\)
- \(\Large A>0,B>0\)
\(\Large 微分方程y''+Ay'+By=0,任一解 y(x) ,反常积分 \int_{-\infty}^{0} y(x) \, dx 均收敛,A、B均为常数\) - \(\Large A<0,B>0\)

这类题最后求反常积分时,一般都是f(x)用原来微分方程的y'、y''表示




利用结论


有几个没搬进来的,待补
以各种形式给出的微分方程
极限形式
\(\Large 1^{\infty}=u^v=e^{v*(u-1)}\)

含导数等式







导数定义
值得注意的一点:y可导,因此y连续,又y(0) > 0,y!=0,因此y是一个恒大于0的,因为若有负数,连续函数必定有0点
对于这题导数定义需要记一下



值得注意的一点:y可导,因此y连续,又y(0) > 0,y!=0,因此y是一个恒大于0的,因为若有负数,连续函数必定有0点

牛逼题目
\(\Large 由连续性可以推导lim \Delta y=0\)





导数应用(切法线、曲率)
- 嗯算
- 等分点化简
- \(\large \frac{y}{x}看作(x,y)到(0,0)的斜率\)
- 法线 * 切线 = -1
- 注意算面积这种东西一定要加绝对值

奇怪的处理手法,可以多看看怎么操作的

有余力,再做

好题




好题,利用等分点简化计算

好题










套公式题


套公式题

变限积分(待补充)



定积分应用(待补充)
好题
思考方向:列出式子求导后,求了好几次发现变成了变系数的微分方程,我们做的所有都是建立在常系数的前提下,因此要换元

多元微分
- 把括号里面的东西设为 u,简化式子,这样做的好处在于:u对x、y求偏导得到的式子是相同的




tag
好题

二重积分

- 注意标出x的范围

tag
注意这里变限积分上限有x,被积函数有x,必须换元

tag
难度在化简二重积分


动手做做
tag

物理应用(待补充)
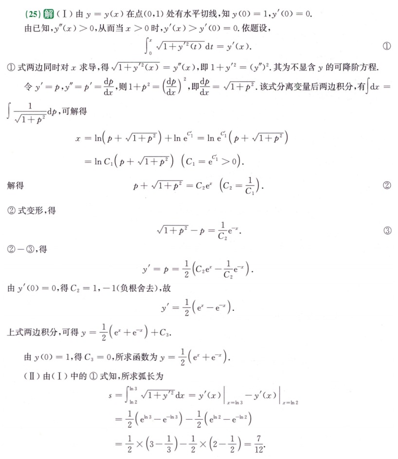
抓住走过的路程就是弧长


浙公网安备 33010602011771号