二叉树
二叉树
1.二叉树理论基础
题目分类
题目分类大纲如下:

二叉树的种类
在我们解题过程中二叉树有两种主要的形式:满二叉树和完全二叉树。
满二叉树
满二叉树:如果一棵二叉树只有度为0的结点和度为2的结点,并且度为0的结点在同一层上,则这棵二叉树为满二叉树。
如图所示:

这棵二叉树为满二叉树,也可以说深度为k,有2^k-1个节点的二叉树。
完全二叉树
什么是完全二叉树?
完全二叉树的定义如下:在完全二叉树中,除了最底层节点可能没填满外,其余每层节点数都达到最大值,并且最下面一层的节点都集中在该层最左边的若干位置。若最底层为第 h 层(h从1开始),则该层包含 1~ 2^(h-1) 个节点。

之前我们刚刚讲过优先级队列其实是一个堆,堆就是一棵完全二叉树,同时保证父子节点的顺序关系。
二叉搜索树
前面介绍的树,都没有数值的,而二叉搜索树是有数值的了,二叉搜索树是一个有序树。
- 若它的左子树不空,则左子树上所有结点的值均小于它的根结点的值;
- 若它的右子树不空,则右子树上所有结点的值均大于它的根结点的值;
- 它的左、右子树也分别为二叉排序树
下面这两棵树都是搜索树

平衡二叉搜索树
平衡二叉搜索树:又被称为AVL(Adelson-Velsky and Landis)树,且具有以下性质:它是一棵空树或它的左右两个子树的高度差的绝对值不超过1,并且左右两个子树都是一棵平衡二叉树。
如图:

最后一棵 不是平衡二叉树,因为它的左右两个子树的高度差的绝对值超过了1。
C++中map、set、multimap,multiset的底层实现都是平衡二叉搜索树,所以map、set的增删操作时间时间复杂度是logn,注意我这里没有说unordered_map、unordered_set,unordered_map、unordered_set底层实现是哈希表。
所以大家使用自己熟悉的编程语言写算法,一定要知道常用的容器底层都是如何实现的,最基本的就是map、set等等,否则自己写的代码,自己对其性能分析都分析不清楚!
二叉树的存储方式
二叉树可以链式存储,也可以顺序存储。
那么链式存储方式就用指针, 顺序存储的方式就是用数组。
顾名思义就是顺序存储的元素在内存是连续分布的,而链式存储则是通过指针把分布在各个地址的节点串联一起。
链式存储如图:

链式存储是大家很熟悉的一种方式,那么我们来看看如何顺序存储呢?
其实就是用数组来存储二叉树,顺序存储的方式如图:

用数组来存储二叉树如何遍历的呢?
如果父节点的数组下标是 i,那么它的左孩子就是 i * 2 + 1,右孩子就是 i * 2 + 2。
但是用链式表示的二叉树,更有利于我们理解,所以一般我们都是用链式存储二叉树。
所以大家要了解,用数组依然可以表示二叉树。
二叉树的遍历方式
关于二叉树的遍历方式,要知道二叉树遍历的基本方式都有哪些。
一些同学用做了很多二叉树的题目了,可能知道前中后序遍历,可能知道层序遍历,但是却没有框架。
我这里把二叉树的几种遍历方式列出来,大家就可以一一串起来了。
二叉树主要有两种遍历方式:
- 深度优先遍历:先往深走,遇到叶子节点再往回走。
- 广度优先遍历:一层一层的去遍历。
这两种遍历是图论中最基本的两种遍历方式,后面在介绍图论的时候 还会介绍到。
那么从深度优先遍历和广度优先遍历进一步拓展,才有如下遍历方式:
- 深度优先遍历
- 前序遍历(递归法,迭代法)
- 中序遍历(递归法,迭代法)
- 后序遍历(递归法,迭代法)
- 广度优先遍历
- 层次遍历(迭代法)
在深度优先遍历中:有三个顺序,前中后序遍历, 有同学总分不清这三个顺序,经常搞混,我这里教大家一个技巧。
这里前中后,其实指的就是中间节点的遍历顺序,只要大家记住 前中后序指的就是中间节点的位置就可以了。
看如下中间节点的顺序,就可以发现,中间节点的顺序就是所谓的遍历方式
- 前序遍历:中左右
- 中序遍历:左中右
- 后序遍历:左右中
大家可以对着如下图,看看自己理解的前后中序有没有问题。

最后再说一说二叉树中深度优先和广度优先遍历实现方式,我们做二叉树相关题目,经常会使用递归的方式来实现深度优先遍历,也就是实现前中后序遍历,使用递归是比较方便的。
之前我们讲栈与队列的时候,就说过栈其实就是递归的一种实现结构,也就说前中后序遍历的逻辑其实都是可以借助栈使用递归的方式来实现的。
而广度优先遍历的实现一般使用队列来实现,这也是队列先进先出的特点所决定的,因为需要先进先出的结构,才能一层一层的来遍历二叉树。
这里其实我们又了解了栈与队列的一个应用场景了。
二叉树的定义
刚刚我们说过了二叉树有两种存储方式顺序存储,和链式存储,顺序存储就是用数组来存,这个定义没啥可说的,我们来看看链式存储的二叉树节点的定义方式。
public class TreeNode {
int val;
TreeNode left;
TreeNode right;
TreeNode() {}
TreeNode(int val) { this.val = val; }
TreeNode(int val, TreeNode left, TreeNode right) {
this.val = val;
this.left = left;
this.right = right;
}
}
大家会发现二叉树的定义 和链表是差不多的,相对于链表 ,二叉树的节点里多了一个指针, 有两个指针,指向左右孩子。
这里要提醒大家要注意二叉树节点定义的书写方式。
在现场面试的时候 面试官可能要求手写代码,所以数据结构的定义以及简单逻辑的代码一定要锻炼白纸写出来。
因为我们在刷leetcode的时候,节点的定义默认都定义好了,真到面试的时候,需要自己写节点定义的时候,有时候会一脸懵逼!
总结
二叉树是一种基础数据结构,在算法面试中都是常客,也是众多数据结构的基石。
本篇我们介绍了二叉树的种类、存储方式、遍历方式以及定义,比较全面的介绍了二叉树各个方面的重点,帮助大家扫一遍基础。
说到二叉树,就不得不说递归,很多同学对递归都是又熟悉又陌生,递归的代码一般很简短,但每次都是一看就会,一写就废。
2.二叉树的递归遍历
思路
这次我们要好好谈一谈递归,为什么很多同学看递归算法都是“一看就会,一写就废”。
主要是对递归不成体系,没有方法论,每次写递归算法 ,都是靠玄学来写代码,代码能不能编过都靠运气。
本篇将介绍前后中序的递归写法,一些同学可能会感觉很简单,其实不然,我们要通过简单题目把方法论确定下来,有了方法论,后面才能应付复杂的递归。
这里帮助大家确定下来递归算法的三个要素。每次写递归,都按照这三要素来写,可以保证大家写出正确的递归算法!
- 确定递归函数的参数和返回值: 确定哪些参数是递归的过程中需要处理的,那么就在递归函数里加上这个参数, 并且还要明确每次递归的返回值是什么进而确定递归函数的返回类型。
- 确定终止条件: 写完了递归算法, 运行的时候,经常会遇到栈溢出的错误,就是没写终止条件或者终止条件写的不对,操作系统也是用一个栈的结构来保存每一层递归的信息,如果递归没有终止,操作系统的内存栈必然就会溢出。
3.确定单层递归的逻辑: 确定每一层递归需要处理的信息。在这里也就会重复调用自己来实现递归的过程。
好了,我们确认了递归的三要素,接下来就来练练手:
以下以前序遍历为例:
1.确定递归函数的参数和返回值:因为要打印出前序遍历节点的数值,所以参数里需要传入vector来放节点的数值,除了这一点就不需要再处理什么数据了也不需要有返回值,所以递归函数返回类型就是void,代码如下:
public void preorder(TreeNode root, List<Integer> result)
2.确定终止条件:在递归的过程中,如何算是递归结束了呢,当然是当前遍历的节点是空了,那么本层递归就要结束了,所以如果当前遍历的这个节点是空,就直接return,代码如下:
if (root == null) {
return;
}
3.确定单层递归的逻辑:前序遍历是中左右的顺序,所以在单层递归的逻辑,是要先取中节点的数值,代码如下:
result.add(root.val);
preorder(root.left, result);
preorder(root.right, result);
单层递归的逻辑就是按照中左右的顺序来处理的,这样二叉树的前序遍历,基本就写完了,再看一下完整代码:
// 前序遍历·递归·LC144_二叉树的前序遍历
class Solution {
public List<Integer> preorderTraversal(TreeNode root) {
List<Integer> result = new ArrayList<Integer>();
preorder(root, result);
return result;
}
public void preorder(TreeNode root, List<Integer> result) {
if (root == null) {
return;
}
result.add(root.val);
preorder(root.left, result);
preorder(root.right, result);
}
}
// 中序遍历·递归·LC94_二叉树的中序遍历
class Solution {
public List<Integer> inorderTraversal(TreeNode root) {
List<Integer> res = new ArrayList<>();
inorder(root, res);
return res;
}
void inorder(TreeNode root, List<Integer> list) {
if (root == null) {
return;
}
inorder(root.left, list);
list.add(root.val); // 注意这一句
inorder(root.right, list);
}
}
// 后序遍历·递归·LC145_二叉树的后序遍历
class Solution {
public List<Integer> postorderTraversal(TreeNode root) {
List<Integer> res = new ArrayList<>();
postorder(root, res);
return res;
}
void postorder(TreeNode root, List<Integer> list) {
if (root == null) {
return;
}
postorder(root.left, list);
postorder(root.right, list);
list.add(root.val); // 注意这一句
}
}
此时大家可以做一做leetcode上三道题目,分别是:
可能有同学感觉前后中序遍历的递归太简单了,要打迭代法(非递归),别急,我们明天打迭代法,打个通透!
3.二叉树的迭代遍历(非递归)
看完本篇大家可以使用迭代法,再重新解决如下三道leetcode上的题目:
思路
为什么可以用迭代法(非递归的方式)来实现二叉树的前后中序遍历呢?
递归的实现就是:每一次递归调用都会把函数的局部变量、参数值和返回地址等压入调用栈中,然后递归返回的时候,从栈顶弹出上一次递归的各项参数,所以这就是递归为什么可以返回上一层位置的原因。
此时大家应该知道我们用栈也可以是实现二叉树的前后中序遍历了。
前序遍历(迭代法)
我们先看一下前序遍历。
前序遍历是中左右,每次先处理的是中间节点,那么先将根节点放入栈中,然后将右孩子加入栈,再加入左孩子。
为什么要先加入 右孩子,再加入左孩子呢? 因为这样出栈的时候才是中左右的顺序。
如下:

不难写出如下代码: (注意代码中空节点不入栈)
// 前序遍历顺序:中-左-右,入栈顺序:中-右-左
class Solution {
public List<Integer> preorderTraversal(TreeNode root) {
List<Integer> result = new ArrayList<>();
if (root == null){
return result;
}
Stack<TreeNode> stack = new Stack<>();
stack.push(root);
while (!stack.isEmpty()){
TreeNode node = stack.pop();
result.add(node.val);
if (node.right != null){
stack.push(node.right);
}
if (node.left != null){
stack.push(node.left);
}
}
return result;
}
}
再用迭代法写中序遍历的时候,会发现套路又不一样了,目前的前序遍历的逻辑无法直接应用到中序遍历上。
中序遍历(迭代法)
为了解释清楚,我说明一下 刚刚在迭代的过程中,其实我们有两个操作:
- 处理:将元素放进result数组中
- 访问:遍历节点
分析一下为什么刚刚写的前序遍历的代码,不能和中序遍历通用呢,因为前序遍历的顺序是中左右,先访问的元素是中间节点,要处理的元素也是中间节点,所以刚刚才能写出相对简洁的代码,因为要访问的元素和要处理的元素顺序是一致的,都是中间节点。
那么再看看中序遍历,中序遍历是左中右,先访问的是二叉树顶部的节点,然后一层一层向下访问,直到到达树左面的最底部,再开始处理节点(也就是在把节点的数值放进result数组中),这就造成了处理顺序和访问顺序是不一致的。
那么在使用迭代法写中序遍历,就需要借用指针的遍历来帮助访问节点,栈则用来处理节点上的元素。
如下:

中序遍历,可以写出如下代码:
// 中序遍历顺序: 左-中-右 入栈顺序: 左-右
class Solution {
public List<Integer> inorderTraversal(TreeNode root) {
List<Integer> result = new ArrayList<>();
if (root == null){
return result;
}
Stack<TreeNode> stack = new Stack<>();
TreeNode cur = root;
while (cur != null || !stack.isEmpty()){
if (cur != null){
stack.push(cur);
cur = cur.left;
}else{
cur = stack.pop();
result.add(cur.val);
cur = cur.right;
}
}
return result;
}
}
后序遍历(迭代法)
再来看后序遍历,先序遍历是中左右,后序遍历是左右中,那么我们只需要调整一下先序遍历的代码顺序,就变成中右左的遍历顺序,然后在反转result数组,输出的结果顺序就是左右中了,如下图:

所以后序遍历只需要前序遍历的代码稍作修改就可以了,代码如下:
// 后序遍历顺序 左-右-中 入栈顺序:中-左-右 出栈顺序:中-右-左, 最后翻转结果
class Solution {
public List<Integer> postorderTraversal(TreeNode root) {
List<Integer> result = new ArrayList<>();
if (root == null){
return result;
}
Stack<TreeNode> stack = new Stack<>();
stack.push(root);
while (!stack.isEmpty()){
TreeNode node = stack.pop();
result.add(node.val);
if (node.left != null){
stack.push(node.left);
}
if (node.right != null){
stack.push(node.right);
}
}
Collections.reverse(result);
return result;
}
}
总结
此时我们用迭代法写出了二叉树的前后中序遍历,大家可以看出前序和中序是完全两种代码风格,并不像递归写法那样代码稍做调整,就可以实现前后中序。
这是因为前序遍历中访问节点(遍历节点)和处理节点(将元素放进result数组中)可以同步处理,但是中序就无法做到同步!
那么问题又来了,难道二叉树前后中序遍历的迭代法实现,就不能风格统一么(即前序遍历改变代码顺序就可以实现中序 和 后序)?
当然可以,这种写法,还不是很好理解,我们将在下一篇文章里重点讲解,敬请期待!
4.二叉树的统一迭代法
思路
我们发现迭代法实现的先中后序,其实风格也不是那么统一,除了先序和后序,有关联,中序完全就是另一个风格了,一会用栈遍历,一会又用指针来遍历。
其实针对三种遍历方式,使用迭代法是可以写出统一风格的代码!
重头戏来了,接下来介绍一下统一写法。
我们上节提到说使用栈的话,无法同时解决访问节点(遍历节点)和处理节点(将元素放进结果集)不一致的情况。
那我们就将访问的节点放入栈中,把要处理的节点也放入栈中但是要做标记。
如何标记呢,就是要处理的节点放入栈之后,紧接着放入一个空指针作为标记。 这种方法也可以叫做标记法。
迭代法中序遍历
中序遍历代码如下:(详细注释)
class Solution {
public List<Integer> inorderTraversal(TreeNode root) {
List<Integer> result = new LinkedList<>();
Stack<TreeNode> st = new Stack<>();
if (root != null) st.push(root);
while (!st.empty()) {
TreeNode node = st.peek();
if (node != null) {
st.pop(); // 将该节点弹出,避免重复操作,下面再将右中左节点添加到栈中
if (node.right!=null) st.push(node.right); // 添加右节点(空节点不入栈)
st.push(node); // 添加中节点
st.push(null); // 中节点访问过,但是还没有处理,加入空节点做为标记。
if (node.left!=null) st.push(node.left); // 添加左节点(空节点不入栈)
} else { // 只有遇到空节点的时候,才将下一个节点放进结果集
st.pop(); // 将空节点弹出
node = st.peek(); // 重新取出栈中元素
st.pop();
result.add(node.val); // 加入到结果集
}
}
return result;
}
}
如下(中序遍历):

result数组就是最终结果集。
可以看出我们将访问的节点直接加入到栈中,但如果是处理的节点则后面放入一个空节点, 这样只有空节点弹出的时候,才将下一个节点放进结果集。
此时我们再来看前序遍历代码。
迭代法前序遍历
迭代法前序遍历代码如下: (注意此时我们和中序遍历相比仅仅改变了两行代码的顺序)
class Solution {
public List<Integer> preorderTraversal(TreeNode root) {
List<Integer> result = new LinkedList<>();
Stack<TreeNode> st = new Stack<>();
if (root != null) st.push(root);
while (!st.empty()) {
TreeNode node = st.peek();
if (node != null) {
st.pop(); // 将该节点弹出,避免重复操作,下面再将右中左节点添加到栈中
if (node.right!=null) st.push(node.right); // 添加右节点(空节点不入栈)
if (node.left!=null) st.push(node.left); // 添加左节点(空节点不入栈)
st.push(node); // 添加中节点
st.push(null); // 中节点访问过,但是还没有处理,加入空节点做为标记。
} else { // 只有遇到空节点的时候,才将下一个节点放进结果集
st.pop(); // 将空节点弹出
node = st.peek(); // 重新取出栈中元素
st.pop();
result.add(node.val); // 加入到结果集
}
}
return result;
}
}
迭代法后序遍历
后续遍历代码如下: (注意此时我们和中序遍历相比仅仅改变了两行代码的顺序)
class Solution {
public:
vector<int> postorderTraversal(TreeNode* root) {
vector<int> result;
stack<TreeNode*> st;
if (root != NULL) st.push(root);
while (!st.empty()) {
TreeNode* node = st.top();
if (node != NULL) {
st.pop();
st.push(node); // 中
st.push(NULL);
if (node->right) st.push(node->right); // 右
if (node->left) st.push(node->left); // 左
} else {
st.pop();
node = st.top();
st.pop();
result.push_back(node->val);
}
}
return result;
}
};
总结
此时我们写出了统一风格的迭代法,不用在纠结于前序写出来了,中序写不出来的情况了。
但是统一风格的迭代法并不好理解,而且想在面试直接写出来还有难度的。
所以大家根据自己的个人喜好,对于二叉树的前中后序遍历,选择一种自己容易理解的递归和迭代法。
5.二叉树的层次遍历
学会二叉树的层序遍历,可以一口气打完以下十题:
- 102.二叉树的层序遍历
- 107.二叉树的层次遍历II
- 199.二叉树的右视图
- 637.二叉树的层平均值
- 429.N叉树的层序遍历
- 515.在每个树行中找最大值
- 116.填充每个节点的下一个右侧节点指针
- 117.填充每个节点的下一个右侧节点指针II
- 104.二叉树的最大深度
- 111.二叉树的最小深度
102.二叉树的层序遍历
力扣题目链接
给你一个二叉树,请你返回其按 层序遍历 得到的节点值。 (即逐层地,从左到右访问所有节点)。

思路
层序遍历一个二叉树。就是从左到右一层一层的去遍历二叉树。这种遍历的方式和我们之前讲过的都不太一样。
需要借用一个辅助数据结构即队列来实现,队列先进先出,符合一层一层遍历的逻辑,而用栈先进后出适合模拟深度优先遍历也就是递归的逻辑。
而这种层序遍历方式就是图论中的广度优先遍历,只不过我们应用在二叉树上。
使用队列实现二叉树广度优先遍历,动画如下:
使用队列实现二叉树广度优先遍历,如下:

这样就实现了层序从左到右遍历二叉树。
代码如下:这份代码也可以作为二叉树层序遍历的模板,打十个就靠它了。
代码
// 102.二叉树的层序遍历
class Solution {
public List<List<Integer>> resList = new ArrayList<List<Integer>>();
public List<List<Integer>> levelOrder(TreeNode root) {
//checkFun01(root,0);
checkFun02(root);
return resList;
}
//BFS--递归方式
public void checkFun01(TreeNode node, Integer deep) {
if (node == null) return;
deep++;
if (resList.size() < deep) {
//当层级增加时,list的Item也增加,利用list的索引值进行层级界定
List<Integer> item = new ArrayList<Integer>();
resList.add(item);
}
resList.get(deep - 1).add(node.val);
checkFun01(node.left, deep);
checkFun01(node.right, deep);
}
//BFS--迭代方式--借助队列
public void checkFun02(TreeNode node) {
if (node == null) return;
Queue<TreeNode> que = new LinkedList<TreeNode>();
que.offer(node);
while (!que.isEmpty()) {
List<Integer> itemList = new ArrayList<Integer>();
int len = que.size();
while (len > 0) {
TreeNode tmpNode = que.poll();
itemList.add(tmpNode.val);
if (tmpNode.left != null) que.offer(tmpNode.left);
if (tmpNode.right != null) que.offer(tmpNode.right);
len--;
}
resList.add(itemList);
}
}
}
107.二叉树的层次遍历 II
给定一个二叉树,返回其节点值自底向上的层次遍历。 (即按从叶子节点所在层到根节点所在的层,逐层从左向右遍历)

思路
相对于102.二叉树的层序遍历,就是最后把result数组反转一下就可以了。
// 107. 二叉树的层序遍历 II
public class N0107 {
/**
* 解法:队列,迭代。
* 层序遍历,再翻转数组即可。
*/
public List<List<Integer>> solution1(TreeNode root) {
List<List<Integer>> list = new ArrayList<>();
Deque<TreeNode> que = new LinkedList<>();
if (root == null) {
return list;
}
que.offerLast(root);
while (!que.isEmpty()) {
List<Integer> levelList = new ArrayList<>();
int levelSize = que.size();
for (int i = 0; i < levelSize; i++) {
TreeNode peek = que.peekFirst();
levelList.add(que.pollFirst().val);
if (peek.left != null) {
que.offerLast(peek.left);
}
if (peek.right != null) {
que.offerLast(peek.right);
}
}
list.add(levelList);
}
List<List<Integer>> result = new ArrayList<>();
for (int i = list.size() - 1; i >= 0; i-- ) {
result.add(list.get(i));
}
return result;
}
}
/**
* 思路和模板相同, 对收集答案的方式做了优化, 最后不需要反转
*/
class Solution {
public List<List<Integer>> levelOrderBottom(TreeNode root) {
// 利用链表可以进行 O(1) 头部插入, 这样最后答案不需要再反转
LinkedList<List<Integer>> ans = new LinkedList<>();
Queue<TreeNode> q = new LinkedList<>();
if (root != null) q.offer(root);
while (!q.isEmpty()) {
int size = q.size();
List<Integer> temp = new ArrayList<>();
for (int i = 0; i < size; i ++) {
TreeNode node = q.poll();
temp.add(node.val);
if (node.left != null) q.offer(node.left);
if (node.right != null) q.offer(node.right);
}
// 新遍历到的层插到头部, 这样就满足按照层次反序的要求
ans.addFirst(temp);
}
return ans;
}
199.二叉树的右视图
力扣题目链接
给定一棵二叉树,想象自己站在它的右侧,按照从顶部到底部的顺序,返回从右侧所能看到的节点值。

思路
层序遍历的时候,判断是否遍历到单层的最后面的元素,如果是,就放进result数组中,随后返回result就可以了。
// 199.二叉树的右视图
public class N0199 {
/**
* 解法:队列,迭代。
* 每次返回每层的最后一个字段即可。
*
* 小优化:每层右孩子先入队。代码略。
*/
public List<Integer> rightSideView(TreeNode root) {
List<Integer> list = new ArrayList<>();
Deque<TreeNode> que = new LinkedList<>();
if (root == null) {
return list;
}
que.offerLast(root);
while (!que.isEmpty()) {
int levelSize = que.size();
for (int i = 0; i < levelSize; i++) {
TreeNode poll = que.pollFirst();
if (poll.left != null) {
que.addLast(poll.left);
}
if (poll.right != null) {
que.addLast(poll.right);
}
if (i == levelSize - 1) {
list.add(poll.val);
}
}
}
return list;
}
}
637.二叉树的层平均值
给定一个非空二叉树, 返回一个由每层节点平均值组成的数组。

思路
本题就是层序遍历的时候把一层求个总和再取一个均值。
// 637. 二叉树的层平均值
public class N0637 {
/**
* 解法:队列,迭代。
* 每次返回每层的最后一个字段即可。
*/
public List<Double> averageOfLevels(TreeNode root) {
List<Double> list = new ArrayList<>();
Deque<TreeNode> que = new LinkedList<>();
if (root == null) {
return list;
}
que.offerLast(root);
while (!que.isEmpty()) {
int levelSize = que.size();
double levelSum = 0.0;
for (int i = 0; i < levelSize; i++) {
TreeNode poll = que.pollFirst();
levelSum += poll.val;
if (poll.left != null) {
que.addLast(poll.left);
}
if (poll.right != null) {
que.addLast(poll.right);
}
}
list.add(levelSum / levelSize);
}
return list;
}
}
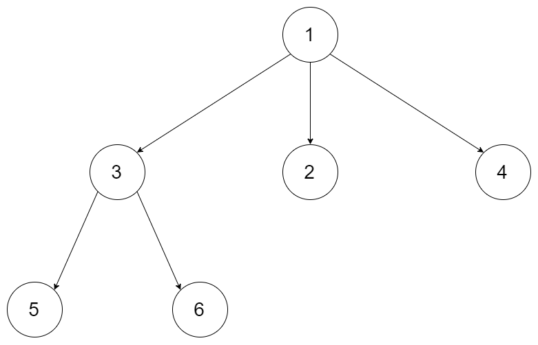
429.N叉树的层序遍历
力扣题目链接
给定一个 N 叉树,返回其节点值的层序遍历。 (即从左到右,逐层遍历)。
例如,给定一个 3叉树 :

返回其层序遍历:
[[1],[3,2,4],[5,6]]
思路
这道题依旧是模板题,只不过一个节点有多个孩子了
// 429. N 叉树的层序遍历
public class N0429 {
/**
* 解法1:队列,迭代。
*/
public List<List<Integer>> levelOrder(Node root) {
List<List<Integer>> list = new ArrayList<>();
Deque<Node> que = new LinkedList<>();
if (root == null) {
return list;
}
que.offerLast(root);
while (!que.isEmpty()) {
int levelSize = que.size();
List<Integer> levelList = new ArrayList<>();
for (int i = 0; i < levelSize; i++) {
Node poll = que.pollFirst();
levelList.add(poll.val);
List<Node> children = poll.children;
if (children == null || children.size() == 0) {
continue;
}
for (Node child : children) {
if (child != null) {
que.offerLast(child);
}
}
}
list.add(levelList);
}
return list;
}
class Node {
public int val;
public List<Node> children;
public Node() {}
public Node(int _val) {
val = _val;
}
public Node(int _val, List<Node> _children) {
val = _val;
children = _children;
}
}
}
515.在每个树行中找最大值
力扣题目链接
您需要在二叉树的每一行中找到最大的值。

思路
层序遍历,取每一层的最大值
class Solution {
public List<Integer> largestValues(TreeNode root) {
if(root == null){
return Collections.emptyList();
}
List<Integer> result = new ArrayList();
Queue<TreeNode> queue = new LinkedList();
queue.offer(root);
while(!queue.isEmpty()){
int max = Integer.MIN_VALUE;
for(int i = queue.size(); i > 0; i--){
TreeNode node = queue.poll();
max = Math.max(max, node.val);
if(node.left != null) queue.offer(node.left);
if(node.right != null) queue.offer(node.right);
}
result.add(max);
}
return result;
}
}
116.填充每个节点的下一个右侧节点指针
力扣题目链接
给定一个完美二叉树,其所有叶子节点都在同一层,每个父节点都有两个子节点。二叉树定义如下:
struct Node {
int val;
Node *left;
Node *right;
Node *next;
}
填充它的每个 next 指针,让这个指针指向其下一个右侧节点。如果找不到下一个右侧节点,则将 next 指针设置为 NULL。
初始状态下,所有 next 指针都被设置为 NULL。

思路
本题依然是层序遍历,只不过在单层遍历的时候记录一下本层的头部节点,然后在遍历的时候让前一个节点指向本节点就可以了
class Solution {
public Node connect(Node root) {
Queue<Node> tmpQueue = new LinkedList<Node>();
if (root != null) tmpQueue.add(root);
while (tmpQueue.size() != 0){
int size = tmpQueue.size();
Node cur = tmpQueue.poll();
if (cur.left != null) tmpQueue.add(cur.left);
if (cur.right != null) tmpQueue.add(cur.right);
for (int index = 1; index < size; index++){
Node next = tmpQueue.poll();
if (next.left != null) tmpQueue.add(next.left);
if (next.right != null) tmpQueue.add(next.right);
cur.next = next;
cur = next;
}
}
return root;
}
}
117.填充每个节点的下一个右侧节点指针II
思路
这道题目说是二叉树,但116题目说是完整二叉树,其实没有任何差别,一样的代码一样的逻辑一样的味道
// 二叉树之层次遍历
class Solution {
public Node connect(Node root) {
Queue<Node> queue = new LinkedList<>();
if (root != null) {
queue.add(root);
}
while (!queue.isEmpty()) {
int size = queue.size();
Node node = null;
Node nodePre = null;
for (int i = 0; i < size; i++) {
if (i == 0) {
nodePre = queue.poll(); // 取出本层头一个节点
node = nodePre;
} else {
node = queue.poll();
nodePre.next = node; // 本层前一个节点 next 指向当前节点
nodePre = nodePre.next;
}
if (node.left != null) {
queue.add(node.left);
}
if (node.right != null) {
queue.add(node.right);
}
}
nodePre.next = null; // 本层最后一个节点 next 指向 null
}
return root;
}
}
104.二叉树的最大深度
力扣题目链接
给定一个二叉树,找出其最大深度。
二叉树的深度为根节点到最远叶子节点的最长路径上的节点数。
说明: 叶子节点是指没有子节点的节点。
示例:
给定二叉树 [3,9,20,null,null,15,7],

返回它的最大深度 3 。
思路
使用迭代法的话,使用层序遍历是最为合适的,因为最大的深度就是二叉树的层数,和层序遍历的方式极其吻合。
在二叉树中,一层一层的来遍历二叉树,记录一下遍历的层数就是二叉树的深度,如图所示:

所以这道题的迭代法就是一道模板题,可以使用二叉树层序遍历的模板来解决的。
class Solution {
public int maxDepth(TreeNode root) {
if (root == null) return 0;
Queue<TreeNode> que = new LinkedList<>();
que.offer(root);
int depth = 0;
while (!que.isEmpty())
{
int len = que.size();
while (len > 0)
{
TreeNode node = que.poll();
if (node.left != null) que.offer(node.left);
if (node.right != null) que.offer(node.right);
len--;
}
depth++;
}
return depth;
}
}
二叉树的最小深度
思路
相对于 104.二叉树的最大深度 ,本题还也可以使用层序遍历的方式来解决,思路是一样的。
需要注意的是,只有当左右孩子都为空的时候,才说明遍历的最低点了。如果其中一个孩子为空则不是最低点
class Solution {
public int minDepth(TreeNode root){
if (root == null) {
return 0;
}
Queue<TreeNode> queue = new LinkedList<>();
queue.offer(root);
int depth = 0;
while (!queue.isEmpty()){
int size = queue.size();
depth++;
TreeNode cur = null;
for (int i = 0; i < size; i++) {
cur = queue.poll();
//如果当前节点的左右孩子都为空,直接返回最小深度
if (cur.left == null && cur.right == null){
return depth;
}
if (cur.left != null) queue.offer(cur.left);
if (cur.right != null) queue.offer(cur.right);
}
}
return depth;
}
}
总结
二叉树的层序遍历,就是图论中的广度优先搜索在二叉树中的应用,需要借助队列来实现(此时又发现队列的一个应用了)。
6.翻转二叉树
力扣题目链接
翻转一棵二叉树。

题外话
这道题目是非常经典的题目,也是比较简单的题目(至少一看就会)。
但正是因为这道题太简单,一看就会,一些同学都没有抓住起本质,稀里糊涂的就把这道题目过了。
如果做过这道题的同学也建议认真看完,相信一定有所收获!
思路
我们之前介绍的都是各种方式遍历二叉树,这次要翻转了,感觉还是有点懵逼。
这得怎么翻转呢?
如果要从整个树来看,翻转还真的挺复杂,整个树以中间分割线进行翻转,如图:

可以发现想要翻转它,其实就把每一个节点的左右孩子交换一下就可以了。
关键在于遍历顺序,前中后序应该选哪一种遍历顺序? (一些同学这道题都过了,但是不知道自己用的是什么顺序)
遍历的过程中去翻转每一个节点的左右孩子就可以达到整体翻转的效果。
注意只要把每一个节点的左右孩子翻转一下,就可以达到整体翻转的效果
这道题目使用前序遍历和后序遍历都可以,唯独中序遍历不方便,因为中序遍历会把某些节点的左右孩子翻转了两次!建议拿纸画一画,就理解了
那么层序遍历可以不可以呢?依然可以的!只要把每一个节点的左右孩子翻转一下的遍历方式都是可以的!
递归法
我们来看一下递归三部曲:
1.确定递归函数的参数和返回值
参数就是要传入节点的指针,不需要其他参数了,通常此时定下来主要参数,如果在写递归的逻辑中发现还需要其他参数的时候,随时补充。
返回值的话其实也不需要,但是题目中给出的要返回root节点的指针,可以直接使用题目定义好的函数,所以就函数的返回类型为TreeNode。
public TreeNode invertTree(TreeNode root)
2.确定终止条件
当前节点为空的时候,就返回
if (root == NULL) return root;
3.确定单层递归的逻辑
因为是先前序遍历,所以先进行交换左右孩子节点,然后反转左子树,反转右子树。
swapChildren(root);
invertTree(root.left);
invertTree(root.right);
基于这递归三步法,代码基本写完
//DFS递归
class Solution {
/**
* 前后序遍历都可以
* 中序不行,因为先左孩子交换孩子,再根交换孩子(做完后,右孩子已经变成了原来的左孩子),再右孩子交换孩子(此时其实是对原来的左孩子做交换)
*/
public TreeNode invertTree(TreeNode root) {
if (root == null) {
return null;
}
invertTree(root.left);
invertTree(root.right);
swapChildren(root);
return root;
}
private void swapChildren(TreeNode root) {
TreeNode tmp = root.left;
root.left = root.right;
root.right = tmp;
}
}
迭代法
广度优先遍历
也就是层序遍历,层数遍历也是可以翻转这棵树的,因为层序遍历也可以把每个节点的左右孩子都翻转一遍,代码如下:
//BFS
class Solution {
public TreeNode invertTree(TreeNode root) {
if (root == null) {return null;}
ArrayDeque<TreeNode> deque = new ArrayDeque<>();
deque.offer(root);
while (!deque.isEmpty()) {
int size = deque.size();
while (size-- > 0) {
TreeNode node = deque.poll();
swap(node);
if (node.left != null) deque.offer(node.left);
if (node.right != null) deque.offer(node.right);
}
}
return root;
}
public void swap(TreeNode root) {
TreeNode temp = root.left;
root.left = root.right;
root.right = temp;
}
}
7.二叉树周末总结
略
8.对称二叉树
力扣题目链接
给定一个二叉树,检查它是否是镜像对称的。

思路
首先想清楚,判断对称二叉树要比较的是哪两个节点,要比较的可不是左右节点!
对于二叉树是否对称,要比较的是根节点的左子树与右子树是不是相互翻转的,理解这一点就知道了其实我们要比较的是两个树(这两个树是根节点的左右子树),所以在递归遍历的过程中,也是要同时遍历两棵树。
那么如何比较呢?
比较的是两个子树的里侧和外侧的元素是否相等。如图所示:

那么遍历的顺序应该是什么样的呢?
本题遍历只能是“后序遍历”,因为我们要通过递归函数的返回值来判断两个子树的内侧节点和外侧节点是否相等。
正是因为要遍历两棵树而且要比较内侧和外侧节点,所以准确的来说是一个树的遍历顺序是左右中,一个树的遍历顺序是右左中。
但都可以理解算是后序遍历,尽管已经不是严格上在一个树上进行遍历的后序遍历了。
其实后序也可以理解为是一种回溯,当然这是题外话,讲回溯的时候会重点讲的。
那么我们先来看看递归法的代码应该怎么写。
递归法
递归三部曲
1.确定递归函数的参数和返回值
因为我们要比较的是根节点的两个子树是否是相互翻转的,进而判断这个树是不是对称树,所以要比较的是两个树,参数自然也是左子树节点和右子树节点。
返回值自然是bool类型。
代码如下:
private boolean compare(TreeNode left, TreeNode right)
2.确定终止条件
要比较两个节点数值相不相同,首先要把两个节点为空的情况弄清楚!否则后面比较数值的时候就会操作空指针了。
节点为空的情况有:(注意我们比较的其实不是左孩子和右孩子,所以如下我称之为左节点右节点)
- 左节点为空,右节点不为空,不对称,return false
- 左不为空,右为空,不对称 return false
- 左右都为空,对称,返回true
此时已经排除掉了节点为空的情况,那么剩下的就是左右节点不为空:
- 左右都不为空,比较节点数值,不相同就return false
此时左右节点不为空,且数值也不相同的情况我们也处理了。
代码如下
if (left == null && right != null) return false;
if (left != null && right == null) return false;
if (left == null && right == null) return true;
if (left.val != right.val) return false;
注意上面最后一种情况,我没有使用else,而是if, 因为我们把以上情况都排除之后,剩下的就是 左右节点都不为空,且数值相同的情况。
3.确定单层递归的逻辑
此时才进入单层递归的逻辑,单层递归的逻辑就是处理 左右节点都不为空,且数值相同的情况。
- 比较二叉树外侧是否对称:传入的是左节点的左孩子,右节点的右孩子。
- 比较内侧是否对称,传入左节点的右孩子,右节点的左孩子。
- 如果左右都对称就返回true ,有一侧不对称就返回false 。
代码如下:
// 比较外侧
boolean compareOutside = compare(left.left, right.right);
// 比较内侧
boolean compareInside = compare(left.right, right.left);
return compareOutside && compareInside;
如上代码中,我们可以看出使用的遍历方式,左子树左右中,右子树右左中,所以我把这个遍历顺序也称之为“后序遍历”(尽管不是严格的后序遍历)。
最后递归的整体代码如下:
/**
* 递归法
*/
public boolean isSymmetric1(TreeNode root) {
return compare(root.left, root.right);
}
private boolean compare(TreeNode left, TreeNode right) {
if (left == null && right != null) {
return false;
}
if (left != null && right == null) {
return false;
}
if (left == null && right == null) {
return true;
}
if (left.val != right.val) {
return false;
}
// 比较外侧
boolean compareOutside = compare(left.left, right.right);
// 比较内侧
boolean compareInside = compare(left.right, right.left);
return compareOutside && compareInside;
}
迭代法
这道题目我们也可以使用迭代法,但要注意,这里的迭代法可不是前中后序的迭代写法,因为本题的本质是判断两个树是否是相互翻转的,其实已经不是所谓二叉树遍历的前中后序的关系了。
这里我们可以使用队列来比较两个树(根节点的左右子树)是否相互翻转,(注意这不是层序遍历)
使用队列
通过队列来判断根节点的左子树和右子树的内侧和外侧是否相等,如下所示

如下的条件判断和递归的逻辑是一样的。
/**
* 迭代法
* 使用双端队列,相当于两个栈
*/
public boolean isSymmetric2(TreeNode root) {
Deque<TreeNode> deque = new LinkedList<>();
deque.offerFirst(root.left);
deque.offerLast(root.right);
while (!deque.isEmpty()) {
TreeNode leftNode = deque.pollFirst();
TreeNode rightNode = deque.pollLast();
if (leftNode == null && rightNode == null) {
continue;
}
// if (leftNode == null && rightNode != null) {
// return false;
// }
// if (leftNode != null && rightNode == null) {
// return false;
// }
// if (leftNode.val != rightNode.val) {
// return false;
// }
// 以上三个判断条件合并
if (leftNode == null || rightNode == null || leftNode.val != rightNode.val) {
return false;
}
deque.offerFirst(leftNode.left);
deque.offerFirst(leftNode.right);
deque.offerLast(rightNode.right);
deque.offerLast(rightNode.left);
}
return true;
}
/**
* 迭代法
* 使用普通队列
*/
public boolean isSymmetric3(TreeNode root) {
Queue<TreeNode> deque = new LinkedList<>();
deque.offer(root.left);
deque.offer(root.right);
while (!deque.isEmpty()) {
TreeNode leftNode = deque.poll();
TreeNode rightNode = deque.poll();
if (leftNode == null && rightNode == null) {
continue;
}
// if (leftNode == null && rightNode != null) {
// return false;
// }
// if (leftNode != null && rightNode == null) {
// return false;
// }
// if (leftNode.val != rightNode.val) {
// return false;
// }
// 以上三个判断条件合并
if (leftNode == null || rightNode == null || leftNode.val != rightNode.val) {
return false;
}
// 这里顺序与使用Deque不同
deque.offer(leftNode.left);
deque.offer(rightNode.right);
deque.offer(leftNode.right);
deque.offer(rightNode.left);
}
return true;
}
总结
这次我们又深度剖析了一道二叉树的“简单题”,大家会发现,真正的把题目搞清楚其实并不简单,leetcode上accept了和真正掌握了还是有距离的。
我们介绍了递归法和迭代法,递归依然通过递归三部曲来解决了这道题目,如果只看精简的代码根本看不出来递归三部曲是如何解题的。
在迭代法中我们使用了队列,需要注意的是这不是层序遍历,而且仅仅通过一个容器来成对的存放我们要比较的元素,知道这一本质之后就发现,用队列,用栈,甚至用数组,都是可以的。
9.二叉树的最大深度
力扣题目链接
给定一个二叉树,找出其最大深度。
二叉树的深度为根节点到最远叶子节点的最长路径上的节点数。
说明: 叶子节点是指没有子节点的节点。
示例: 给定二叉树 [3,9,20,null,null,15,7],

返回它的最大深度 3 。
思路
看完本篇可以一起做了如下两道题目:
递归法
本题可以使用前序(中左右),也可以使用后序遍历(左右中),使用前序求的就是深度,使用后序求的是高度。
- 二叉树节点的深度:指从根节点到该节点的最长简单路径边的条数或者节点数(取决于深度从0开始还是从1开始)
- 二叉树节点的高度:指从该节点到叶子节点的最长简单路径边的条数或者节点数(取决于高度从0开始还是从1开始)
而根节点的高度就是二叉树的最大深度,所以本题中我们通过后序求的根节点高度来求的二叉树最大深度。
这一点其实是很多同学没有想清楚的,很多题解同样没有讲清楚。
我先用后序遍历(左右中)来计算树的高度。
1.确定递归函数的参数和返回值:参数就是传入树的根节点,返回就返回这棵树的深度,所以返回值为int类型。
public int maxDepth(TreeNode root)
2.确定终止条件:如果为空节点的话,就返回0,表示高度为0。
代码如下:
if (node == NULL) return 0;
3.确定单层递归的逻辑:先求它的左子树的深度,再求右子树的深度,最后取左右深度最大的数值 再+1 (加1是因为算上当前中间节点)就是目前节点为根节点的树的深度。
代码如下:
int leftDepth = maxDepth(root.left);
int rightDepth = maxDepth(root.right);
return Math.max(leftDepth, rightDepth) + 1;
所以整体代码如下:
class Solution {
/**
* 递归法
*/
public int maxDepth(TreeNode root) {
if (root == null) {
return 0;
}
int leftDepth = maxDepth(root.left);
int rightDepth = maxDepth(root.right);
return Math.max(leftDepth, rightDepth) + 1;
}
}
迭代法
使用迭代法的话,使用层序遍历是最为合适的,因为最大的深度就是二叉树的层数,和层序遍历的方式极其吻合。
在二叉树中,一层一层的来遍历二叉树,记录一下遍历的层数就是二叉树的深度,如图所示:

所以这道题的迭代法就是一道模板题,可以使用二叉树层序遍历的模板来解决的。
class Solution {
/**
* 迭代法,使用层序遍历
*/
public int maxDepth(TreeNode root) {
if(root == null) {
return 0;
}
Deque<TreeNode> deque = new LinkedList<>();
deque.offer(root);
int depth = 0;
while (!deque.isEmpty()) {
int size = deque.size();
depth++;
for (int i = 0; i < size; i++) {
TreeNode node = deque.poll();
if (node.left != null) {
deque.offer(node.left);
}
if (node.right != null) {
deque.offer(node.right);
}
}
}
return depth;
}
}
相关题目推荐
559.n叉树的最大深度
给定一个 n 叉树,找到其最大深度。
最大深度是指从根节点到最远叶子节点的最长路径上的节点总数。
例如,给定一个 3叉树 :

我们应返回其最大深度,3。
思路
依然可以提供递归法和迭代法,来解决这个问题,思路是和二叉树思路一样的,直接给出代码如下:
递归法
class Solution {
/*递归法,后序遍历求root节点的高度*/
public int maxDepth(Node root) {
if (root == null) return 0;
int depth = 0;
if (root.children != null){
for (Node child : root.children){
depth = Math.max(depth, maxDepth(child));
}
}
return depth + 1; //中节点
}
}
迭代法
class Solution {
/**
* 迭代法,使用层序遍历
*/
public int maxDepth(Node root) {
if (root == null) return 0;
int depth = 0;
Queue<Node> que = new LinkedList<>();
que.offer(root);
while (!que.isEmpty())
{
depth ++;
int len = que.size();
while (len > 0)
{
Node node = que.poll();
for (int i = 0; i < node.children.size(); i++)
if (node.children.get(i) != null)
que.offer(node.children.get(i));
len--;
}
}
return depth;
}
}
10.二叉树的最小深度
力扣题目链接
给定一个二叉树,找出其最小深度。
最小深度是从根节点到最近叶子节点的最短路径上的节点数量。
说明: 叶子节点是指没有子节点的节点。
示例:
给定二叉树 [3,9,20,null,null,15,7],

返回它的最小深度 2.
思路
本题依然是前序遍历和后序遍历都可以,前序求的是深度,后序求的是高度。
- 二叉树节点的深度:指从根节点到该节点的最长简单路径边的条数或者节点数(取决于深度从0开始还是从1开始)
- 二叉树节点的高度:指从该节点到叶子节点的最长简单路径边的条数后者节点数(取决于高度从0开始还是从1开始)
那么使用后序遍历,其实求的是根节点到叶子节点的最小距离,就是求高度的过程,不过这个最小距离 也同样是最小深度。
以下讲解中遍历顺序上依然采用后序遍历(因为要比较递归返回之后的结果,本文我也给出前序遍历的写法)。
本题还有一个误区,在处理节点的过程中,最大深度很容易理解,最小深度就不那么好理解,如图:

这就重新审题了,题目中说的是:最小深度是从根节点到最近叶子节点的最短路径上的节点数量。注意是叶子节点。
什么是叶子节点,左右孩子都为空的节点才是叶子节点!
递归法
来来来,一起递归三部曲:
1.确定递归函数的参数和返回值
参数为要传入的二叉树根节点,返回的是int类型的深度。
代码如下:
public int minDepth(TreeNode root)
2.确定终止条件
终止条件也是遇到空节点返回0,表示当前节点的高度为0。
代码如下:
if (root == null) return 0;
3.确定单层递归的逻辑
这块和求最大深度可就不一样了。

如果左子树为空,右子树不为空,说明最小深度是 1 + 右子树的深度。
反之,右子树为空,左子树不为空,最小深度是 1 + 左子树的深度。 最后如果左右子树都不为空,返回左右子树深度最小值 + 1 。
int leftDepth = minDepth(root.left);
int rightDepth = minDepth(root.right);
if (root.left == null) {
return rightDepth + 1;
}
if (root.right == null) {
return leftDepth + 1;
}
// 左右结点都不为null
return Math.min(leftDepth, rightDepth) + 1;
遍历的顺序为后序(左右中),可以看出:求二叉树的最小深度和求二叉树的最大深度的差别主要在于处理左右孩子不为空的逻辑。
整体递归代码如下:
class Solution {
/**
* 递归法,相比求MaxDepth要复杂点
* 因为最小深度是从根节点到最近**叶子节点**的最短路径上的节点数量
*/
public int minDepth(TreeNode root) {
if (root == null) {
return 0;
}
int leftDepth = minDepth(root.left);
int rightDepth = minDepth(root.right);
if (root.left == null) {
return rightDepth + 1;
}
if (root.right == null) {
return leftDepth + 1;
}
// 左右结点都不为null
return Math.min(leftDepth, rightDepth) + 1;
}
}
前序遍历的方式:
class Solution {
/**
* 递归法(思路来自二叉树最大深度的递归法)
* 该题求最小深度,最小深度为根节点到叶子节点的深度,所以在迭代到每个叶子节点时更新最小值。
*/
int depth = 0;
// 定义最小深度,初始化最大值
int minDepth = Integer.MAX_VALUE;
public int minDepth(TreeNode root) {
dep(root);
return minDepth == Integer.MAX_VALUE ? 0 : minDepth;
}
void dep(TreeNode root){
if(root == null) return ;
// 递归开始,深度增加
depth++;
dep(root.left);
dep(root.right);
// 该位置表示递归到叶子节点了,需要更新最小深度minDepth
if(root.left == null && root.right == null)
minDepth = Math.min(minDepth , depth);
// 递归结束,深度减小
depth--;
}
}
迭代法
本题还可以使用层序遍历的方式来解决,思路是一样的。
需要注意的是,只有当左右孩子都为空的时候,才说明遍历到最低点了。如果其中一个孩子不为空则不是最低点
代码如下:(详细注释)
class Solution {
/**
* 迭代法,层序遍历
*/
public int minDepth(TreeNode root) {
if (root == null) {
return 0;
}
Deque<TreeNode> deque = new LinkedList<>();
deque.offer(root);
int depth = 0;
while (!deque.isEmpty()) {
int size = deque.size();
depth++;
for (int i = 0; i < size; i++) {
TreeNode poll = deque.poll();
if (poll.left == null && poll.right == null) {
// 是叶子结点,直接返回depth,因为从上往下遍历,所以该值就是最小值
return depth;
}
if (poll.left != null) {
deque.offer(poll.left);
}
if (poll.right != null) {
deque.offer(poll.right);
}
}
}
return depth;
}
}
11.完全二叉树的节点个数
力扣题目链接
给出一个完全二叉树,求出该树的节点个数。
示例 1:
- 输入:root = [1,2,3,4,5,6]
- 输出:6
示例 2:
- 输入:root = []
- 输出:0
示例 3:
- 输入:root = [1]
- 输出:1
提示:
树中节点的数目范围是[0, 5 * 10^4]
0 <= Node.val <= 5 * 10^4
题目数据保证输入的树是 完全二叉树
思路
本篇给出按照普通二叉树的求法以及利用完全二叉树性质的求法。
普通二叉树
首先按照普通二叉树的逻辑来求。
这道题目的递归法和求二叉树的深度写法类似, 而迭代法,5.二叉树的层序遍历遍历模板稍稍修改一下,记录遍历的节点数量就可以了。
递归遍历的顺序依然是后序(左右中)。
递归
1.确定递归函数的参数和返回值:参数就是传入树的根节点,返回就返回以该节点为根节点二叉树的节点数量,所以返回值为int类型。
代码如下:
int countNodes(TreeNode root)
2.确定终止条件:如果为空节点的话,就返回0,表示节点数为0。
代码如下:
if(root == null) return 0;
3.确定单层递归的逻辑:先求它的左子树的节点数量,再求右子树的节点数量,最后取总和再加一 (加1是因为算上当前中间节点)就是目前节点为根节点的节点数量。
代码如下:
return countNodes(root.left) + countNodes(root.right) + 1;
所以整体代码如下:
class Solution {
// 通用递归解法
public int countNodes(TreeNode root) {
if(root == null) {
return 0;
}
return countNodes(root.left) + countNodes(root.right) + 1;
}
}
- 时间复杂度:O(n)
- 空间复杂度:O(log n),算上了递归系统栈占用的空间
迭代
class Solution {
// 迭代法
public int countNodes(TreeNode root) {
if (root == null) return 0;
Queue<TreeNode> queue = new LinkedList<>();
queue.offer(root);
int result = 0;
while (!queue.isEmpty()) {
int size = queue.size();
while (size -- > 0) {
TreeNode cur = queue.poll();
result++;
if (cur.left != null) queue.offer(cur.left);
if (cur.right != null) queue.offer(cur.right);
}
}
return result;
}
}
- 时间复杂度:O(n)
- 空间复杂度:O(n)
完全二叉树
在完全二叉树中,除了最底层节点可能没填满外,其余每层节点数都达到最大值,并且最下面一层的节点都集中在该层最左边的若干位置。若最底层为第 h 层,则该层包含 1~ 2^(h-1) 个节点。
大家要自己看完全二叉树的定义,很多同学对完全二叉树其实不是真正的懂了。
我来举一个典型的例子如题:

完全二叉树只有两种情况,情况一:就是满二叉树,情况二:最后一层叶子节点没有满。
对于情况一,可以直接用 2^h-1 来计算,注意这里根节点深度为1。
对于情况二,分别递归左孩子,和右孩子,递归到某一深度一定会有左孩子或者右孩子为满二叉树,然后依然可以按照情况1来计算。
完全二叉树(一)如图:

完全二叉树(二)如图:

可以看出如果整个树不是满二叉树,就递归其左右孩子,直到遇到满二叉树为止,用公式计算这个子树(满二叉树)的节点数量。
这里关键在于如何去判断一个左子树或者右子树是不是满二叉树呢?
在完全二叉树中,如果递归向左遍历的深度等于递归向右遍历的深度,那说明就是满二叉树。如图:

在完全二叉树中,如果递归向左遍历的深度不等于递归向右遍历的深度,则说明不是满二叉树,如图:

那有录友说了,这种情况,递归向左遍历的深度等于递归向右遍历的深度,但也不是满二叉树,如题:

如果这么想,大家就是对 完全二叉树理解有误区了,以上这棵二叉树,它根本就不是一个完全二叉树!
递归代码如下:
class Solution {
/**
* 针对完全二叉树的解法
*
* 满二叉树的结点数为:2^depth - 1
*/
public int countNodes(TreeNode root) {
if (root == null) return 0;
TreeNode left = root.left;
TreeNode right = root.right;
int leftDepth = 0, rightDepth = 0; // 这里初始为0是有目的的,为了下面求指数方便
while (left != null) { // 求左子树深度
left = left.left;
leftDepth++;
}
while (right != null) { // 求右子树深度
right = right.right;
rightDepth++;
}
if (leftDepth == rightDepth) {
return (2 << leftDepth) - 1; // 注意(2<<1) 相当于2^2,所以leftDepth初始为0
}
return countNodes(root.left) + countNodes(root.right) + 1;
}
}
- 时间复杂度:O(log n × log n)
- 空间复杂度:O(log n)
12.平衡二叉树
力扣题目链接
给定一个二叉树,判断它是否是高度平衡的二叉树。
本题中,一棵高度平衡二叉树定义为:一个二叉树每个节点 的左右两个子树的高度差的绝对值不超过1。
示例 1:
给定二叉树 [3,9,20,null,null,15,7]

返回 true 。
示例 2:
给定二叉树 [1,2,2,3,3,null,null,4,4]

返回 false 。
思路
递归
此时大家应该明白了既然要求比较高度,必然是要后序遍历。
递归三步曲分析:
1.明确递归函数的参数和返回值
参数:当前传入节点。 返回值:以当前传入节点为根节点的树的高度。
那么如何标记左右子树是否差值大于1呢?
如果当前传入节点为根节点的二叉树已经不是二叉平衡树了,还返回高度的话就没有意义了。
所以如果已经不是二叉平衡树了,可以返回-1 来标记已经不符合平衡树的规则了。
代码如下:
private int getHeight(TreeNode root)
2.明确终止条件
递归的过程中依然是遇到空节点了为终止,返回0,表示当前节点为根节点的树高度为0
代码如下:
if (node == NULL) {
return 0;
}
3.明确单层递归的逻辑
如何判断以当前传入节点为根节点的二叉树是否是平衡二叉树呢?当然是其左子树高度和其右子树高度的差值。
分别求出其左右子树的高度,然后如果差值小于等于1,则返回当前二叉树的高度,否则返回-1,表示已经不是二叉平衡树了。
代码如下:
int leftHeight = getHeight(root.left);
if (leftHeight == -1) {
return -1;
}
int rightHeight = getHeight(root.right);
if (rightHeight == -1) {
return -1;
}
// 左右子树高度差大于1,return -1表示已经不是平衡树了
if (Math.abs(leftHeight - rightHeight) > 1) {
return -1;
}
return Math.max(leftHeight, rightHeight) + 1;
整体代码如下:
class Solution {
/**
* 递归法
*/
public boolean isBalanced(TreeNode root) {
return getHeight(root) != -1;
}
private int getHeight(TreeNode root) {
if (root == null) {
return 0;
}
int leftHeight = getHeight(root.left);
if (leftHeight == -1) {
return -1;
}
int rightHeight = getHeight(root.right);
if (rightHeight == -1) {
return -1;
}
// 左右子树高度差大于1,return -1表示已经不是平衡树了
if (Math.abs(leftHeight - rightHeight) > 1) {
return -1;
}
return Math.max(leftHeight, rightHeight) + 1;
}
}
迭代
在104.二叉树的最大深度 (opens new window)中我们可以使用层序遍历来求深度,但是就不能直接用层序遍历来求高度了,这就体现出求高度和求深度的不同。
本题的迭代方式可以先定义一个函数,专门用来求高度。
这个函数通过栈模拟的后序遍历找每一个节点的高度(其实是通过求传入节点为根节点的最大深度来求的高度)
然后再用栈来模拟后序遍历,遍历每一个节点的时候,再去判断左右孩子的高度是否符合。
class Solution {
/**
* 迭代法,效率较低,计算高度时会重复遍历
* 时间复杂度:O(n^2)
*/
public boolean isBalanced(TreeNode root) {
if (root == null) {
return true;
}
Stack<TreeNode> stack = new Stack<>();
TreeNode pre = null;
while (root!= null || !stack.isEmpty()) {
while (root != null) {
stack.push(root);
root = root.left;
}
TreeNode inNode = stack.peek();
// 右结点为null或已经遍历过
if (inNode.right == null || inNode.right == pre) {
// 比较左右子树的高度差,输出
if (Math.abs(getHeight(inNode.left) - getHeight(inNode.right)) > 1) {
return false;
}
stack.pop();
pre = inNode;
root = null;// 当前结点下,没有要遍历的结点了
} else {
root = inNode.right;// 右结点还没遍历,遍历右结点
}
}
return true;
}
/**
* 层序遍历,求结点的高度
*/
public int getHeight(TreeNode root) {
if (root == null) {
return 0;
}
Deque<TreeNode> deque = new LinkedList<>();
deque.offer(root);
int depth = 0;
while (!deque.isEmpty()) {
int size = deque.size();
depth++;
for (int i = 0; i < size; i++) {
TreeNode poll = deque.poll();
if (poll.left != null) {
deque.offer(poll.left);
}
if (poll.right != null) {
deque.offer(poll.right);
}
}
}
return depth;
}
}
class Solution {
/**
* 优化迭代法,针对暴力迭代法的getHeight方法做优化,利用TreeNode.val来保存当前结点的高度,这样就不会有重复遍历
* 获取高度算法时间复杂度可以降到O(1),总的时间复杂度降为O(n)。
* 时间复杂度:O(n)
*/
public boolean isBalanced(TreeNode root) {
if (root == null) {
return true;
}
Stack<TreeNode> stack = new Stack<>();
TreeNode pre = null;
while (root != null || !stack.isEmpty()) {
while (root != null) {
stack.push(root);
root = root.left;
}
TreeNode inNode = stack.peek();
// 右结点为null或已经遍历过
if (inNode.right == null || inNode.right == pre) {
// 输出
if (Math.abs(getHeight(inNode.left) - getHeight(inNode.right)) > 1) {
return false;
}
stack.pop();
pre = inNode;
root = null;// 当前结点下,没有要遍历的结点了
} else {
root = inNode.right;// 右结点还没遍历,遍历右结点
}
}
return true;
}
/**
* 求结点的高度
*/
public int getHeight(TreeNode root) {
if (root == null) {
return 0;
}
int leftHeight = root.left != null ? root.left.val : 0;
int rightHeight = root.right != null ? root.right.val : 0;
int height = Math.max(leftHeight, rightHeight) + 1;
root.val = height;// 用TreeNode.val来保存当前结点的高度
return height;
}
}
当然此题用迭代法,其实效率很低,因为没有很好的模拟回溯的过程,所以迭代法有很多重复的计算。
虽然理论上所有的递归都可以用迭代来实现,但是有的场景难度可能比较大。
例如:都知道回溯法其实就是递归,但是很少人用迭代的方式去实现回溯算法!
因为对于回溯算法已经是非常复杂的递归了,如果再用迭代的话,就是自己给自己找麻烦,效率也并不一定高。
总结
通过本题可以了解求二叉树深度 和 二叉树高度的差异,求深度适合用前序遍历,而求高度适合用后序遍历。
本题迭代法其实有点复杂,大家可以有一个思路,也不一定说非要写出来。
但是递归方式是一定要掌握的!
13.二叉树的所有路径
力扣题目链接
给定一个二叉树,返回所有从根节点到叶子节点的路径。
说明: 叶子节点是指没有子节点的节点。

思路
这道题目要求从根节点到叶子的路径,所以需要前序遍历,这样才方便让父节点指向孩子节点,找到对应的路径。
在这道题目中将第一次涉及到回溯,因为我们要把路径记录下来,需要回溯来回退一个路径再进入另一个路径。
前序遍历以及回溯的过程如图:

我们先使用递归的方式,来做前序遍历。要知道递归和回溯就是一家的,本题也需要回溯。
递归
1.递归函数参数以及返回值
要传入根节点,记录每一条路径的path,和存放结果集的result,这里递归不需要返回值,代码如下:
private void traversal(TreeNode root, List<Integer> paths, List<String> res)
2.确定递归终止条件
因为本题要找到叶子节点,就开始结束的处理逻辑了(把路径放进result里)。
那么什么时候算是找到了叶子节点? 是当 cur不为空,其左右孩子都为空的时候,就找到叶子节点。
所以本题的终止条件是:
if (root.left == null && root.right == null) {
终止处理逻辑
}
再来看一下终止处理的逻辑。
这里使用vector 结构path来记录路径,所以要把vector 结构的path转为string格式,再把这个string 放进 result里。
那么为什么使用了vector 结构来记录路径呢? 因为在下面处理单层递归逻辑的时候,要做回溯,使用vector方便来做回溯。
可能有的同学问了,我看有些人的代码也没有回溯啊。
其实是有回溯的,只不过隐藏在函数调用时的参数赋值里,下文我还会提到。
这里我们先使用vector结构的path容器来记录路径,那么终止处理逻辑如下:
if (root.left == null && root.right == null) {
// 输出
StringBuilder sb = new StringBuilder();// StringBuilder用来拼接字符串,速度更快
for (int i = 0; i < paths.size() - 1; i++) {
sb.append(paths.get(i)).append("->");
}
sb.append(paths.get(paths.size() - 1));// 记录最后一个节点
res.add(sb.toString());// 收集一个路径
return;
}
3.确定单层递归逻辑
因为是前序遍历,需要先处理中间节点,中间节点就是我们要记录路径上的节点,先放进path中。
paths.remove(paths.size() - 1)
然后是递归和回溯的过程,上面说过没有判断cur是否为空,那么在这里递归的时候,如果为空就不进行下一层递归了。
所以递归前要加上判断语句,下面要递归的节点是否为空,如下
if (root.left != null) { // 左
traversal(root.left, paths, res);
}
if (root.right != null) { // 右
traversal(root.right, paths, res);
}
此时还没完,递归完,要做回溯啊,因为path 不能一直加入节点,它还要删节点,然后才能加入新的节点。
我们知道,回溯和递归是一一对应的,有一个递归,就要有一个回溯,所以回溯要和递归永远在一起。
那么代码应该这么写:
if (root.left != null) { // 左
traversal(root.left, paths, res);
paths.remove(paths.size() - 1);// 回溯
}
if (root.right != null) { // 右
traversal(root.right, paths, res);
paths.remove(paths.size() - 1);// 回溯
}
那么本题整体代码如下:
//解法一
//方式一
class Solution {
/**
* 递归法
*/
public List<String> binaryTreePaths(TreeNode root) {
List<String> res = new ArrayList<>();// 存最终的结果
if (root == null) {
return res;
}
List<Integer> paths = new ArrayList<>();// 作为结果中的路径
traversal(root, paths, res);
return res;
}
private void traversal(TreeNode root, List<Integer> paths, List<String> res) {
paths.add(root.val);// 前序遍历,中
// 遇到叶子结点
if (root.left == null && root.right == null) {
// 输出
StringBuilder sb = new StringBuilder();// StringBuilder用来拼接字符串,速度更快
for (int i = 0; i < paths.size() - 1; i++) {
sb.append(paths.get(i)).append("->");
}
sb.append(paths.get(paths.size() - 1));// 记录最后一个节点
res.add(sb.toString());// 收集一个路径
return;
}
// 递归和回溯是同时进行,所以要放在同一个花括号里
if (root.left != null) { // 左
traversal(root.left, paths, res);
paths.remove(paths.size() - 1);// 回溯
}
if (root.right != null) { // 右
traversal(root.right, paths, res);
paths.remove(paths.size() - 1);// 回溯
}
}
}
//方式二
class Solution {
List<String> result = new ArrayList<>();
public List<String> binaryTreePaths(TreeNode root) {
deal(root, "");
return result;
}
public void deal(TreeNode node, String s) {
if (node == null)
return;
if (node.left == null && node.right == null) {
result.add(new StringBuilder(s).append(node.val).toString());
return;
}
String tmp = new StringBuilder(s).append(node.val).append("->").toString();
deal(node.left, tmp);
deal(node.right, tmp);
}
}
第二种递归的代码虽然精简但把很多重要的点隐藏在了代码细节里,第一种递归写法虽然代码多一些,但是把每一个逻辑处理都完整的展现出来了。
迭代法(推荐)
至于非递归的方式,我们可以依然可以使用前序遍历的迭代方式来模拟遍历路径的过程。
这里除了模拟递归需要一个栈,同时还需要一个栈来存放对应的遍历路径。当然,使用java的同学,可以直接定义一个成员变量为object的栈Stack

浙公网安备 33010602011771号