2023.3.12
import pandas as pd
datafile="C:\\Users\\ASUS\\Documents\\WeChat Files\\wxid_ivbyuelp335q22\\FileStorage\\File\\2023-03\\air_data.csv"
resultfile="C:\\Users\\ASUS\\Documents\\WeChat Files\\wxid_ivbyuelp335q22\\FileStorage\\File\\2023-03\\explore.csv"
data=pd.read_csv(datafile, encoding='utf-8')
explore=data.describe(percentiles=[],include='all').T
explore['null']=len(data)-explore['count']
explore=explore[['null','max','min']]
explore.columns=[u'空值数',u'最大值',u'最小值']
explore.to_csv(resultfile)
from datetime import datetime
import numpy as np
import pandas as pd
import matplotlib.pyplot as plt;
ffp=data['FFP_DATE'].apply(lambda x:datetime.strptime(x,'%Y/%m/%d'))
ffp_year=ffp.map(lambda x : x.year)
#绘制各年份会员入会人数直方图
fig=plt.figure(figsize=(8,5))
plt.rcParams['font.sans-serif']='SimHei'
plt.rcParams['axes.unicode_minus']=False
plt.hist(ffp_year,bins='auto',color='#0504aa')
plt.xlabel('年份')
plt.ylabel('入会人数')
plt.title('各年份会员入会人数')
plt.show()
plt.close
#提取会员不同性别人数
male=pd.value_counts(data['GENDER'])['男']
female=pd.value_counts(data['GENDER'])['女']
#绘制会员性别比例饼图
fig=plt.figure(figsize=(7,4))
plt.pie([male,female],labels=['男','女'],colors=['lightskyblue','lightcoral'],autopct='%1.1f%%')
plt.title('会员性别比例')
plt.show()
plt.close
#提取不同级别会员的人数
lv_four=pd.value_counts(data['FFP_TIER'])[4]
lv_five=pd.value_counts(data['FFP_TIER'])[5]
lv_six=pd.value_counts(data['FFP_TIER'])[6]
#绘制会员各级别人数条形图
fig=plt.figure(figsize=(8,5))
plt.bar(x=range(3),height=[lv_four,lv_five,lv_six],width=0.4,alpha=0.8,color='skyblue')
plt.xticks([index for index in range(3)],['4','5','6'])
plt.xlabel('会员等级')
plt.ylabel('会员人数')
plt.title('会员各级别人数')
plt.show()
plt.close()
#提取会员年龄
age=data['AGE'].dropna()
age=age.astype('int64')
#绘制会员年龄分布箱型图
fig=plt.figure(figsize=(5,10))
plt.boxplot(age,patch_artist=True,labels=['会员年龄'],boxprops={'facecolor':'lightblue'})
plt.title('会员年龄分布箱型图')
plt.grid(axis='y')
plt.show()
plt.close



lte=data['LAST_TO_END']
fc=data['FLIGHT_COUNT']
sks=data['SEG_KM_SUM']
#绘制最后乘机至结束时长箱型图
fig=plt.figure(figsize=(5,8))
plt.boxplot(lte,patch_artist=True,labels=['时长'],boxprops={'facecolor':'lightblue'})
plt.title('会员最后乘机至结束时长分布箱型图')
plt.grid(axis='y')
plt.show()
plt.close
#绘制客户飞行次数箱型图
fig=plt.figure(figsize=(5,8))
plt.boxplot(fc,patch_artist=True,labels=['飞行次数'],boxprops={'facecolor':'lightblue'})
plt.title('会员飞行次数分布箱型图')
plt.grid(axis='y')
plt.show()
plt.close
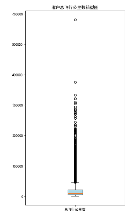
#绘制客户总飞行公里数箱型图
fig=plt.figure(figsize=(5,10))
plt.boxplot(sks,patch_artist=True,labels=['总飞行公里数'],boxprops={'facecolor':'lightblue'})
plt.title('客户总飞行公里数箱型图')
plt.show()
plt.close



ec=data['EXCHANGE_COUNT']
#绘制会员兑换积分次数直方图
fig=plt.figure(figsize=(8,5))
plt.hist(ec,bins=5,color='#0504aa')
plt.xlabel('兑换次数')
plt.ylabel('会员人数')
plt.title('3137会员兑换积分次数分布直方图')
plt.show()
plt.close
#提取会员总累计积分
ps=data['Points_Sum']
#绘制会员总乐基积分箱型图
fig=plt.figure(figsize=(5,8))
plt.boxplot(ps,patch_artist=True,labels=['总累计积分'],boxprops={'facecolor':'lightblue'})
plt.title('3137客户总累计积分箱型图')
plt.show()
plt.close


#提取属性并合并为新数据集
data_corr=data[['FFP_TIER','FLIGHT_COUNT','LAST_TO_END','SEG_KM_SUM','EXCHANGE_COUNT','Points_Sum']]
age1=data['AGE'].fillna(0)
data_corr['AGE']=age1.astype('int64')
data_corr['ffp_year']=ffp_year
#计算相关性矩阵
dt_corr=data_corr.corr(method='pearson')
print('相关性矩阵为:\n',dt_corr)
#绘制热力图
import seaborn as sns
plt.subplots(figsize=(10,10))
sns.heatmap(dt_corr,annot=True,vmax=1,square=True,cmap='Blues')
plt.show()
plt.close
相关性矩阵为:
FFP_TIER FLIGHT_COUNT LAST_TO_END SEG_KM_SUM \
FFP_TIER 1.000000 0.582447 -0.206313 0.522350
FLIGHT_COUNT 0.582447 1.000000 -0.404999 0.850411
LAST_TO_END -0.206313 -0.404999 1.000000 -0.369509
SEG_KM_SUM 0.522350 0.850411 -0.369509 1.000000
EXCHANGE_COUNT 0.342355 0.502501 -0.169717 0.507819
Points_Sum 0.559249 0.747092 -0.292027 0.853014
ffp_year -0.116510 -0.188181 0.117913 -0.171508
EXCHANGE_COUNT Points_Sum ffp_year
FFP_TIER 0.342355 0.559249 -0.116510
FLIGHT_COUNT 0.502501 0.747092 -0.188181
LAST_TO_END -0.169717 -0.292027 0.117913
SEG_KM_SUM 0.507819 0.853014 -0.171508
EXCHANGE_COUNT 1.000000 0.578581 -0.216610
Points_Sum 0.578581 1.000000 -0.163431
ffp_year -0.216610 -0.163431 1.000000
import numpy as np
import pandas as pd
datafile="C:\\Users\\ASUS\\Documents\\WeChat Files\\wxid_ivbyuelp335q22\\FileStorage\\File\\2023-03\\air_data.csv"
cleanedfile="C:\\Users\\ASUS\\Documents\\WeChat Files\\wxid_ivbyuelp335q22\\FileStorage\\File\\2023-03\\data_cleaned.csv"
airline_data=pd.read_csv(datafile,encoding='utf-8')
print('原始数据的形状为:',airline_data.shape)
#去除票价为空的记录
airline_notnull=airline_data.loc[airline_data['SUM_YR_1'].notnull()&airline_data['SUM_YR_2'].notnull(),:]
print('删除确实记录后数据的形状为:',airline_notnull.shape)
#只保留票价非零的,或者平均折扣率部位0且总飞行公里数大于0的记录
index1=airline_notnull['SUM_YR_1']!=0
index2=airline_notnull['SUM_YR_2']!=0
index3=(airline_notnull['SEG_KM_SUM']>0)&(airline_notnull['avg_discount']!=0)
index4=airline_notnull['AGE']>100
airline=airline_notnull[(index1|index2)&index3&~index4]
print('数据清洗后数据的形状为:',airline.shape)
airline.to_csv(cleanedfile)
原始数据的形状为: (62988, 44) 删除确实记录后数据的形状为: (62299, 44) 数据清洗后数据的形状为: (62043, 44)
import pandas as pd
import numpy as np
cleanedfile="C:\\Users\\ASUS\\Documents\\WeChat Files\\wxid_ivbyuelp335q22\\FileStorage\\File\\2023-03\\data_cleaned(1).csv"
airline=pd.read_csv(cleanedfile,encoding='utf-8')
#选取需求属性
airline_selection=airline[['FFP_DATE','LOAD_TIME','LAST_TO_END','FLIGHT_COUNT','SEG_KM_SUM','avg_discount']]
print('筛选的属性前5行为:\n',airline_selection.head())
L=pd.to_datetime(airline_selection['LOAD_TIME'])-\
pd.to_datetime(airline_selection['FFP_DATE'])
L=L.astype('str').str.split().str[0]
L=L.astype('int')/30
#合并属性
airline_features = pd.concat([L,airline_selection.iloc[:,2:]],axis = 1) #行合并
print('构建的LRFMC特征前5行为:\n',airline_features.head())
#数据标准化
from sklearn.preprocessing import StandardScaler
airline_features.columns = airline_features.columns.astype(str)
data = StandardScaler().fit_transform(airline_features)
np.savez("C:\\Users\\ASUS\\Documents\\WeChat Files\\wxid_ivbyuelp335q22\\FileStorage\\File\\2023-03\\airline_scale.npz",data)
print('标准化后LRFMC 5个属性为:\n', data[:5,:])
筛选的属性前5行为:
FFP_DATE LOAD_TIME LAST_TO_END FLIGHT_COUNT SEG_KM_SUM avg_discount
0 2006/11/2 2014/3/31 1 210 580717 0.961639
1 2007/2/19 2014/3/31 7 140 293678 1.252314
2 2007/2/1 2014/3/31 11 135 283712 1.254676
3 2008/8/22 2014/3/31 97 23 281336 1.090870
4 2009/4/10 2014/3/31 5 152 309928 0.970658
构建的LRFMC特征前5行为:
0 LAST_TO_END FLIGHT_COUNT SEG_KM_SUM avg_discount
0 90.200000 1 210 580717 0.961639
1 86.566667 7 140 293678 1.252314
2 87.166667 11 135 283712 1.254676
3 68.233333 97 23 281336 1.090870
4 60.533333 5 152 309928 0.970658
标准化后LRFMC 5个属性为:
[[ 1.43579256 -0.94493902 14.03402401 26.76115699 1.29554188]
[ 1.30723219 -0.91188564 9.07321595 13.12686436 2.86817777]
[ 1.32846234 -0.88985006 8.71887252 12.65348144 2.88095186]
[ 0.65853304 -0.41608504 0.78157962 12.54062193 1.99471546]
[ 0.3860794 -0.92290343 9.92364019 13.89873597 1.34433641]]
import pandas as pd
import numpy as np
from sklearn.cluster import KMeans
#读取标准化后的数据
airline_scale=np.load("C:\\Users\\ASUS\\Documents\\WeChat Files\\wxid_ivbyuelp335q22\\FileStorage\\File\\2023-03\\airline_scale.npz")['arr_0']
k=5
#构建模型,随机种子设为123
kmeans_model=KMeans(n_clusters=k,random_state=123)
fit_kmeans=kmeans_model.fit(airline_scale)
#查看聚类结果
kmeans_cc=kmeans_model.cluster_centers_
print('各类聚类中心为:\n',kmeans_cc)
kmeans_labels=kmeans_model.labels_
print('各样本的类别标签为:\n',kmeans_labels)
r1=pd.Series(kmeans_model.labels_).value_counts()
print('最终每个类别的数目为:\n',r1)
#输出聚类分群的结果
cluster_center=pd.DataFrame(kmeans_model.cluster_centers_,\
columns=['ZL','ZR','ZF','ZM','ZC'])
cluster_center.index=pd.DataFrame(kmeans_model.labels_).\
drop_duplicates().iloc[:,0]
print(cluster_center)
各类聚类中心为:
[[-0.70030628 -0.41502288 -0.16081841 -0.16053724 -0.25728596]
[ 0.0444681 -0.00249102 -0.23046649 -0.23492871 2.17528742]
[ 0.48370858 -0.79939042 2.48317171 2.42445742 0.30923962]
[ 1.1608298 -0.37751261 -0.08668008 -0.09460809 -0.15678402]
[-0.31319365 1.68685465 -0.57392007 -0.5367502 -0.17484815]]
各样本的类别标签为:
[2 2 2 ... 0 4 4]
最终每个类别的数目为:
0 24630
3 15733
4 12117
2 5337
1 4226
dtype: int64
ZL ZR ZF ZM ZC
0
2 -0.700306 -0.415023 -0.160818 -0.160537 -0.257286
1 0.044468 -0.002491 -0.230466 -0.234929 2.175287
3 0.483709 -0.799390 2.483172 2.424457 0.309240
0 1.160830 -0.377513 -0.086680 -0.094608 -0.156784
4 -0.313194 1.686855 -0.573920 -0.536750 -0.174848
%matplotlib inline
labels = ['ZL','ZR','ZF','ZM','ZC']
legen = ['客户群' + str(i + 1) for i in cluster_center.index]
lstype = ['-','--',(0,(3,5,1,5,1,5)),':','-.']
kinds = list(cluster_center.iloc[:,0])
cluster_center = pd.concat([cluster_center,cluster_center[['ZL']]],axis=1)
centers = np.array(cluster_center.iloc[:,0:])
n = len(labels)
angle = np.linspace(0,2 * np.pi,n,endpoint=False)
angle = np.concatenate((angle,[angle[0]]))
fig = plt.figure(figsize=(8,6))
ax = fig.add_subplot(111,polar=True)
for i in range(len(kinds)):
ax.plot(angle,centers[i],linestyle=lstype[i],linewidth=2,label=kinds[i])
ax.set_thetagrids(angle[:-1] * 180 / np.pi,labels)
plt.title('客户特征分析雷达图3137')
plt.legend(legen)
plt.show()
plt.close()

import pandas as pd
import numpy as np
import matplotlib.pyplot as plt
import seaborn as sns
plt.rcParams['font.sans-serif'] = ['SimHei'] # 用来正常显示中文标签
plt.rcParams['axes.unicode_minus'] = False # 用来正常显示负号
import warnings
warnings.filterwarnings('ignore')
from scipy import stats
from sklearn.preprocessing import StandardScaler
from imblearn.over_sampling import SMOTE
from sklearn.model_selection import train_test_split, cross_val_score, GridSearchCV, KFold
from sklearn.feature_selection import RFE
from sklearn.linear_model import LogisticRegression
from sklearn.svm import SVC
from sklearn.ensemble import RandomForestClassifier, VotingClassifier, ExtraTreesClassifier
import xgboost as xgb
from sklearn import metrics
import prettytable
data = pd.read_csv("C:\\Users\\ASUS\\Documents\\WeChat Files\\wxid_ivbyuelp335q22\\FileStorage\\File\\2023-03\\WA_Fn-UseC_-Telco-Customer-Churn.csv")
data.head().T
data.info()


data.drop("customerID", axis=1, inplace=True)
# 转换成连续型变量
data['TotalCharges'] = pd.to_numeric(data.TotalCharges, errors='coerce')
# 查看是否存在缺失值
data['TotalCharges'].isnull().sum()
# 查看缺失值分布
data.loc[data['TotalCharges'].isnull()].T

data.query("tenure == 0").shape[0]
data = data.query("tenure != 0")
# 重置索引
data = data.reset_index().drop('index',axis=1)
# 查看各类别特征频数
for i in data.select_dtypes(include="object").columns:
print(data[i].value_counts())
print('-'*50)

data.Churn = data.Churn.map({'No':0,'Yes':1})
fig, ax= plt.subplots(nrows=2, ncols=3, figsize = (20,8))
for i, feature in enumerate(['tenure','MonthlyCharges','TotalCharges']):
data.loc[data.Churn == 1, feature].hist(ax=ax[0][i], bins=30)
data.loc[data.Churn == 0, feature].hist(ax=ax[1][i], bins=30, )
ax[0][i].set_xlabel(feature+' Churn=0')
ax[1][i].set_xlabel(feature+' Churn=1')

data['TotalCharges_diff'] = data.tenure * data.MonthlyCharges - data.TotalCharges
def func(x):
if x > 0:
res = 2 # 2表示月费增加
elif x == 0:
res = 1 # 1表示月费持平
else:
res = 0 # 0表示月费减少
return res
data['TotalCharges_diff1'] = data['TotalCharges_diff'].apply(lambda x:func(x))
data.drop('TotalCharges_diff', axis=1, inplace=True)
data['tenure'] = pd.qcut(data['tenure'], q=5, labels=['tenure_'+str(i) for i in range(1,6)])
data['MonthlyCharges'] = pd.qcut(data['MonthlyCharges'], q=5, labels=['MonthlyCharges_'+str(i) for i in range(1,6)])
data['TotalCharges'], _ = stats.boxcox(data['TotalCharges'])
X = data[data.columns.drop('Churn')]
y = data.Churn
# 生成哑变量
X = pd.get_dummies(X)
# 标准化
scaler = StandardScaler()
scale_data = scaler.fit_transform(X)
X = pd.DataFrame(scale_data, columns = X.columns)
y.value_counts()
浙公网安备 33010602011771号