2023.2.26
# -*- coding: utf-8 -*-
"""
Created on Wed Feb 22 10:56:39 2023
@author: admin
"""
import pandas as pd
catering_sale ='C:\\Users\\ASUS\\Documents\\WeChat Files\\wxid_ivbyuelp335q22\\FileStorage\\File\\2023-02\\catering_sale.xls' # 餐饮数据
data = pd.read_excel(catering_sale, index_col = u'日期') # 读取数据,指定“日期”列为索引列
print(data)
print(data.describe(),data.describe().max()-data.describe().min())
import matplotlib.pyplot as plt # 导入图像库
plt.rcParams['font.sans-serif'] = ['SimHei'] # 用来正常显示中文标签
plt.rcParams['axes.unicode_minus'] = False # 用来正常显示负号
plt.figure() # 建立图像
p = data.boxplot(return_type='dict') # 画箱线图,直接使用DataFrame的方法
x = p['fliers'][0].get_xdata() # 'flies'即为异常值的标签
y = p['fliers'][0].get_ydata()
y.sort() # 从小到大排序,该方法直接改变原对象
'''
用annotate添加注释
其中有些相近的点,注解会出现重叠,难以看清,需要一些技巧来控制
以下参数都是经过调试的,需要具体问题具体调试。
'''
for i in range(len(x)):
if i>0:
plt.annotate(y[i], xy = (x[i],y[i]), xytext=(x[i]+0.05 -0.8/(y[i]-y[i-1]),y[i]))
else:
plt.annotate(y[i], xy = (x[i],y[i]), xytext=(x[i]+0.08,y[i]))
plt.title('3137菜品销售量分布(箱型图)') #设置标题
plt.show() # 展示箱线图

# 代码3-3 捞起生鱼片的季度销售情况
import pandas as pd
import numpy as np
catering_sale ='C:\\Users\\ASUS\\Documents\\WeChat Files\\wxid_ivbyuelp335q22\\FileStorage\\File\\2023-02\\catering_fish_congee.xls' # 餐饮数据
data = pd.read_excel(catering_sale,names=['date','sale']) # 读取数据,指定“日期”列为索引
bins = [0,500,1000,1500,2000,2500,3000,3500,4000]
labels = ['[0,500)','[500,1000)','[1000,1500)','[1500,2000)',
'[2000,2500)','[2500,3000)','[3000,3500)','[3500,4000)']
data['sale分层'] = pd.cut(data.sale, bins, labels=labels)
aggResult = data.groupby(by=['sale分层'])['sale'].agg(sale=np.size)
pAggResult = round(aggResult/aggResult.sum(), 2, ) * 100
import matplotlib.pyplot as plt
plt.figure(figsize=(10,6)) # 设置图框大小尺寸
pAggResult['sale'].plot(kind='bar',width=0.8,fontsize=10) # 绘制频率直方图
plt.rcParams['font.sans-serif'] = ['SimHei'] # 用来正常显示中文标签
plt.title('3137季度销售额频率分布直方图',fontsize=20)
plt.show()

import pandas as pd
import matplotlib.pyplot as plt
catering_dish_profit = 'C:\\Users\\ASUS\\Documents\\WeChat Files\\wxid_ivbyuelp335q22\\FileStorage\\File\\2023-02\\catering_dish_profit(1).xls' # 餐饮数据
data = pd.read_excel(catering_dish_profit) #读取数据
#绘制饼图
x=data['盈利']
labels=data['菜品名']
plt.figure(figsize=(8,6)) #设置画布大小
plt.pie(x,labels=labels) #绘制饼图
plt.rcParams['font.sans-serif']='SimHei'
plt.title('3137菜品销售量分布(饼图)') #设置标题
plt.axis('equal')
plt.show()
#绘制条形图
x=data['菜品名']
y=data['盈利']
plt.figure(figsize=(8,4)) #设置画布大小
plt.bar(x,y)
plt.rcParams['font.sans-serif']='SimHei'
plt.xlabel('菜品') #设置x轴标题
plt.ylabel('销量') #设置y轴标题
plt.title('3137菜品销售量分布(条形图)') #设置标题
plt.show()

import pandas as pd
import matplotlib.pyplot as plt
# data=pd.read_excel(r'C:\Users\ASUS\Documents\WeChat Files\wxid_ivbyuelp335q22\FileStorage\File\2023-02\data\data\dish_sale.xls')
data=pd.read_excel("./dish_sale.xls")
plt.rcParams['font.sans-serif']='SimHei'
plt.figure(figsize=(8,4))
print(data)
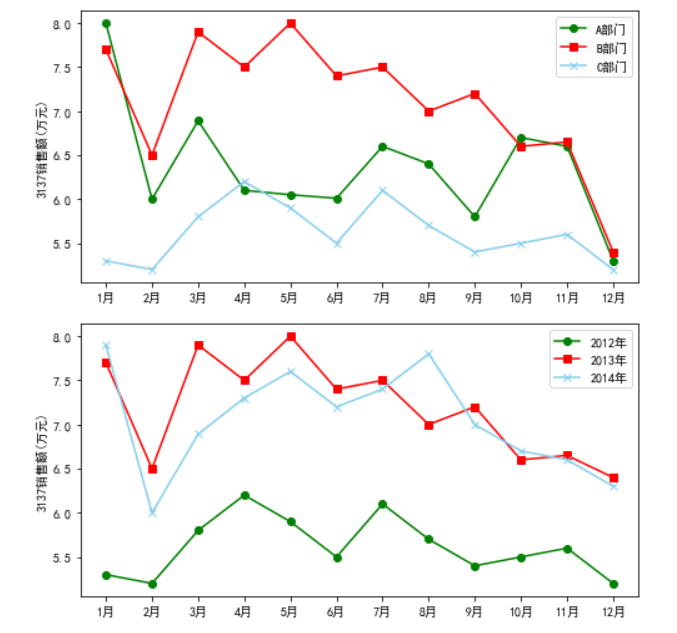
plt.plot(data['月份'],data['A部门'],color='green',label='A部门',marker='o')
plt.plot(data['月份'],data['B部门'],color='red',label='B部门',marker='s')
plt.plot(data['月份'],data['C部门'],color='skyblue',label='C部门',marker='x')
plt.legend()
plt.ylabel('3137销售额(万元)')
plt.show()
data=pd.read_excel("./dish_sale_b.xls")
plt.rcParams['font.sans-serif']='SimHei'
plt.figure(figsize=(8,4))
plt.plot(data['月份'],data['2012年'],color='green',label='2012年',marker='o')
plt.plot(data['月份'],data['2013年'],color='red',label='2013年',marker='s')
plt.plot(data['月份'],data['2014年'],color='skyblue',label='2014年',marker='x')
plt.legend()
plt.ylabel('3137销售额(万元)')
plt.show()

import matplotlib.pyplot as plt
plt.rcParams['font.sans-serif']=['SimHei']
plt.rcParams['axes.unicode_minus']=False
import numpy as np
import pandas as pd
x=pd.Series(np.exp(np.arange(20)))
plt.figure(figsize=(8,9))
ax1=plt.subplot(2,1,1)
x.plot(label='原始数据图',legend=True)
ax1=plt.subplot(2,1,2)
x.plot(logy=True,label='对数数据图',legend=True)
plt.show()

import pandas as pd
import matplotlib.pyplot as plt
df_normal=pd.read_csv("C:\\Users\\ASUS\\Documents\\WeChat Files\\wxid_ivbyuelp335q22\\FileStorage\\File\\2023-02\\data\\data\\user.csv")
plt.figure(figsize=(8,4))
plt.plot(df_normal["Date"],df_normal ["Eletricity"])
plt.xlabel("日期")# 设置x轴刻度间隔
x_major_locator = plt.MultipleLocator(7)
ax = plt.gca()
ax.xaxis.set_major_locator(x_major_locator)
plt.ylabel("每日电量")
plt.title("3137正常用户电量趋势",fontsize=20)
plt.rcParams['font.sans-serif'] = ['SimHei'] # 用来正常显示中文标签
# plt.axis('equal')
plt.show() # 展示图片
# 窃电用户用电趋势分析
df_steal=pd.read_csv("C:\\Users\\ASUS\\Documents\\WeChat Files\\wxid_ivbyuelp335q22\\FileStorage\\File\\2023-02\\data\\data\\Steal user.csv")
plt.figure(figsize=(10,9))
plt.plot(df_steal["Date"],df_steal["Eletricity"])
plt.xlabel("日期")
plt.ylabel("日期")
x_majot_locator=plt.MultipleLocator(7)
ax=plt.gca()
ax.xaxis.set_major_locator(x_major_locator)
plt.title("3137窃电用户电量趋势")
plt.rcParams['font.sans-serif']=['SimHei']
plt.show()


浙公网安备 33010602011771号