环形链表
给定一个链表的头节点 head ,返回链表开始入环的第一个节点。 如果链表无环,则返回 null。
如果链表中有某个节点,可以通过连续跟踪 next 指针再次到达,则链表中存在环。 为了表示给定链表中的环,评测系统内部使用整数 pos 来表示链表尾连接到链表中的位置(索引从 0 开始)。如果 pos 是 -1,则在该链表中没有环。注意:pos 不作为参数进行传递,仅仅是为了标识链表的实际情况。
不允许修改 链表。
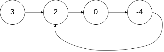
示例 1:

输入:head = [3,2,0,-4], pos = 1
输出:返回索引为 1 的链表节点解释:链表中有一个环,其尾部连接到第二个节点。
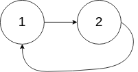
示例 2:

解释:链表中有一个环,其尾部连接到第一个节点。输入:head = [1,2], pos = 0
输出:返回索引为 0 的链表节点
示例 3:

输入:head = [1], pos = -1
输出:返回 null
解释:链表中没有环。
哈希表
public class Solution { public ListNode detectCycle(ListNode head) { ListNode pos = head; Set<ListNode> visited = new HashSet<ListNode>(); while (pos != null) { if (visited.contains(pos)) { return pos; } else { visited.add(pos); } pos = pos.next; } return null; } }
时间复杂度: O(N),其中 N 为链表中节点的数目。我们恰好需要访问链表中的每一个节点。
空间复杂度: O(N),其中 N 为链表中节点的数目。我们需要将链表中的每个节点都保存在哈希表当中。
快慢指针
假想「乌龟」和「兔子」在链表上移动,「兔子」跑得快,「乌龟」跑得慢。当「乌龟」和「兔子」从链表上的同一个节点开始移动时,如果该链表中没有环,那么「兔子」将一直处于「乌龟」的前方;如果该链表中有环,那么「兔子」会先于「乌龟」进入环,并且一直在环内移动。等到「乌龟」进入环时,由于「兔子」的速度快,它一定会在某个时刻与乌龟相遇,即套了「乌龟」若干圈。
public class Solution { public boolean hasCycle(ListNode head) { if (head == null || head.next == null) { return false; } ListNode slow = head; ListNode fast = head.next; while (slow != fast) { if (fast == null || fast.next == null) { return false; } slow = slow.next; fast = fast.next.next; } return true; } }
浙公网安备 33010602011771号