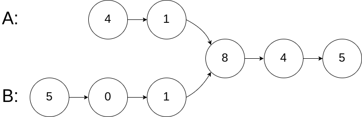
两个链表的第一个公共节点


public class Solution { public ListNode getIntersectionNode(ListNode headA, ListNode headB) { ListNode p1 = headA, p2 = headB; while(p1 != p2){ p1 = p1 == null ? headB : p1.next; p2 = p2 == null ? headA : p2.next; } return p1; } }
public class Solution { public ListNode getIntersectionNode(ListNode headA, ListNode headB) { ListNode p1 = headA, p2 = headB; while(p1 != p2){ p1 = p1 == null ? headB : p1.next; p2 = p2 == null ? headA : p2.next; } return p1; } }