每k个节点反转链表
给你链表的头节点 head ,每 k 个节点一组进行翻转,请你返回修改后的链表。
k 是一个正整数,它的值小于或等于链表的长度。如果节点总数不是 k 的整数倍,那么请将最后剩余的节点保持原有顺序。
你不能只是单纯的改变节点内部的值,而是需要实际进行节点交换。
示例 1:

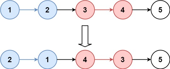
输入:head = [1,2,3,4,5], k = 2
输出:[2,1,4,3,5]
示例 2:

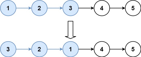
输入:head = [1,2,3,4,5], k = 3
输出:[3,2,1,4,5]
提示:
- 链表中的节点数目为 n
- 1 <= k <= n <= 5000
- 0 <= Node.val <= 1000
步骤分解:
链表分区为已翻转部分+待翻转部分+未翻转部分
每次翻转前,要确定翻转链表的范围,这个必须通过 k 此循环来确定
需记录翻转链表前驱和后继,方便翻转完成后把已翻转部分和未翻转部分连接起来
初始需要两个变量 pre 和 end,pre 代表待翻转链表的前驱,end 代表待翻转链表的末尾
经过k次循环,end 到达末尾,记录待翻转链表的后继 next = end.next
翻转链表,然后将三部分链表连接起来,然后重置 pre 和 end 指针,然后进入下一次循环
特殊情况,当翻转部分长度不足 k 时,在定位 end 完成后,end==null,已经到达末尾,说明题目已完成,直接返回即可
时间复杂度为 O(n*K) 最好的情况为 O(n)最差的情况为 O(n^2)
空间复杂度为 O(1) 除了几个必须的节点指针外,我们并没有占用其他空间。
public ListNode reverseKGroup(ListNode head, int k) { ListNode dummy = new ListNode(0); dummy.next = head; ListNode pre = dummy; ListNode end = dummy; while (end.next != null) { for (int i = 0; i < k && end != null; i++) end = end.next; if (end == null) break; ListNode start = pre.next; ListNode next = end.next; end.next = null; pre.next = reverse(start); start.next = next; pre = start; end = pre; } return dummy.next; } private ListNode reverse(ListNode head) { ListNode pre = null; ListNode curr = head; while (curr != null) { ListNode next = curr.next; curr.next = pre; pre = curr; curr = next; } return pre; }
浙公网安备 33010602011771号