zhaoruirui

导航

 

 

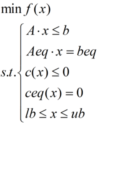
非线性规划

其中f(x)是标量函数,A,b,Aeq,beq,lb,ub是相应维数的矩阵和向量,c(x),ceq(x)是非线性向量函数

 

 

 

 

 

 

 

 

 二次规划

 

 

 

 

 

 

 

 

 

 

 

 

 

 

 

 

 

 

 

 

 

 

 

 

 

 

 

 

 

 

posted on 2021-05-13 11:42  zhaoruirui  阅读(74)  评论(0)    收藏  举报