C语言I博客作业03
| 这个作业属于那个课程 | C语言程序设计II |
|---|---|
| 这个作业要求在哪里 | https://edu.cnblogs.com/campus/zswxy/CST2019-3/homework/8718 |
| 我在这个课程的目标是 | 更熟练,快速的打的代码,掌握好C语言 |
| 这个作业在那个具体方面帮助我实现目标 | 更加熟悉的用用Markdown格式,并且更加了解自己的学习情况 |
| 参考文献 | leecode面试数题网站,ACM解题。 |
* 1.PTA实验作业

1.1.1实验代码截图
- 7-1计算存款利息
![]()
1.1.2数据处理
- 数据表达:变量是money、year,Interest和rate.变量值来源:输入,输出。类型:int
- 数据处理:interest=money×(1+rate)year-money,为顺序结构。
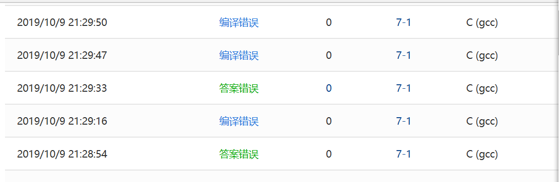
1.1.3 PTA提交列表及说明

- Q1.编辑错误是因为有些符号不对,然后有些该空的没空,公式打错。
- Q2.答案错误是因为输出的符号,空格有问题。
1.2计算分段函数
1.2.1 实验代码截图

1.2.2 数据处理
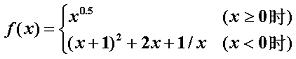
- 数据表达:变量是x。变量值来源:输入。类型是int
- 数据处理:
,分支语句。
1.2.3 PTA提交列表及说明

- Q1.这个编辑错误是因为有一个result打错了,一直没有找出来。
1.3阶梯电价
1.3.1 实验代码截图

1.3.2 数据处理
- 数据表达:变量是cost。变量来源:输入。类型是int
- 数据表达:if-else语句,选择结构。
1.3.3 PTA提交列表及说明

- Q1开始编辑错误是常见的单词不对,空格没留好。
- Q2部分正确是因为。>50的公式掉了-money
2.阅读代码

这个代码目的是求出N个盘子里面放M个苹果有多少种方法(允许有空着的盘子)并且如果有3个盘子,8个苹果放2,5,1和2,1,5是一种方法。fun(m,n-1) 表示m个苹果放到n-1个盘子中,,有一个盘子为空,剩余情况为每个盘子至少有一个苹果,那么分配方法数与每个盘子都减少一苹果方法数相同,即fun(m-n,n)。这个编码有注释,if-else语句应用的很好。
3.学习总结
- 3.1 学习进度条
| 周/日期 | 这周所花的时间 | 代码行 | 学到的知识点简介 | 目前比较疑惑的问题 |
|---|---|---|---|---|
| 10.8-10.12 | 3天左右 | 47 | 学到了if-else语句,格式化输出函数printf,一些函数的编码表达 | 有些输出,输入的编码怎么更加精准 |
- 3.2 累积代码行和博客字数
![]()
- 3.3 学习感悟
C语言真的是一门不容易学好的学科,学好它需要大量的练习,以及理论知识的识记,在有些编码错误时需要冷静思考,不然只会徒增作业的时间,根据每次显示的错误去更改自己的编码能够更好的获得正确答案,搞好学习需要我们拥有一颗相信自己能够完成它的心,不能因为一时弄不出正确答案就放弃。我们也需要做好预习,努力提高自己的技能。

,分支语句。
浙公网安备 33010602011771号