会员
众包
新闻
博问
闪存
赞助商
HarmonyOS
Chat2DB
所有博客
当前博客
我的博客
我的园子
账号设置
会员中心
简洁模式
...
退出登录
注册
登录
荒原之梦考研数学
考研数学网:zhaokaifeng.com
博客园
首页
新随笔
联系
订阅
管理
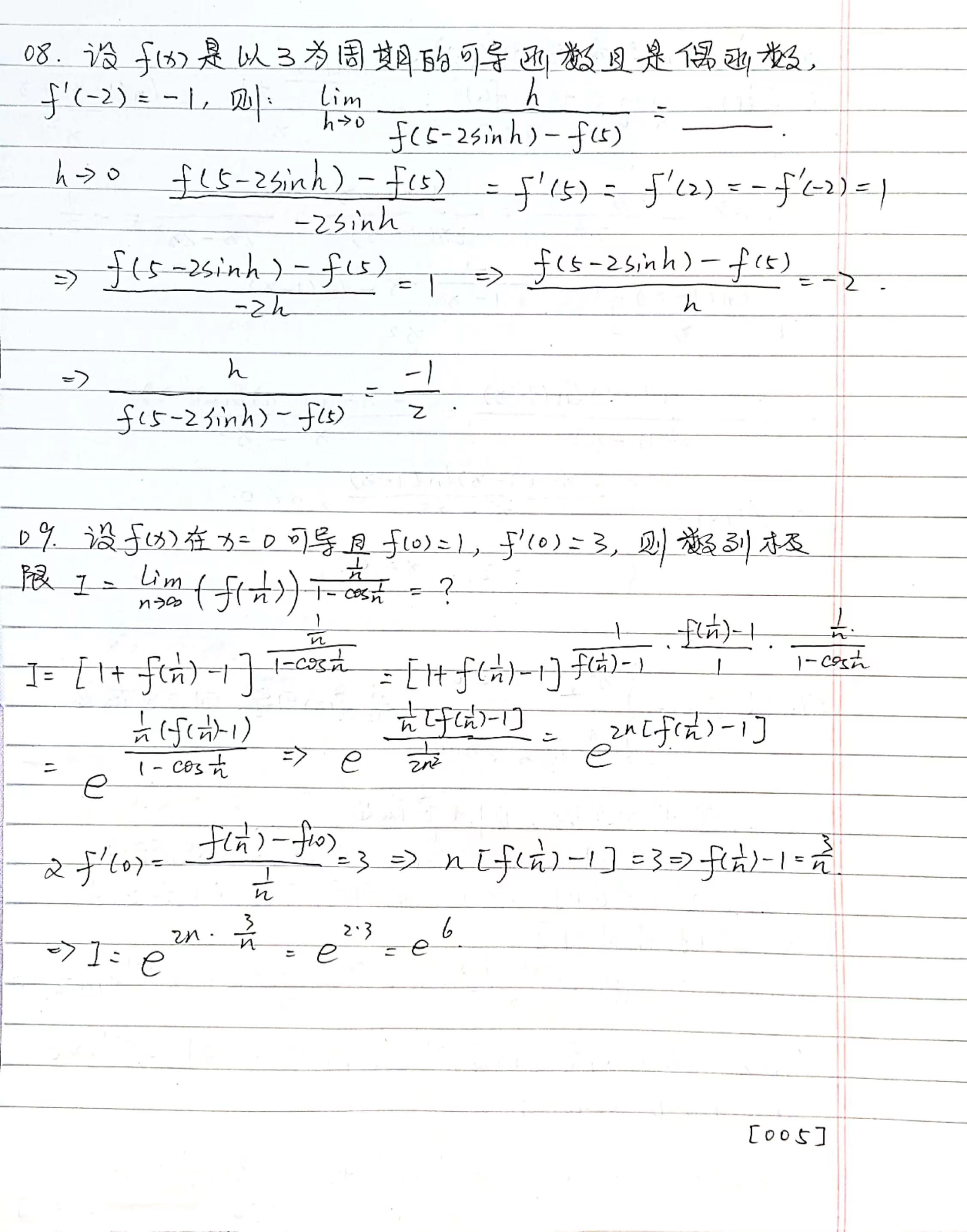
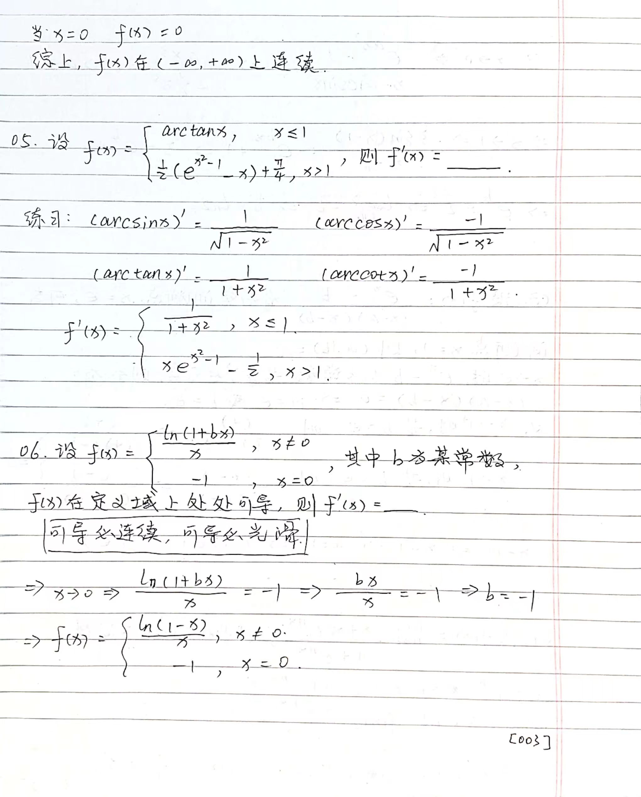
考研数学练习题-2022年12月25日
数量:10
本文来自博客园,作者:
荒原之梦考研数学
,转载请注明原文链接:
https://www.cnblogs.com/zhaokaifengcom/p/17004809.html
posted @
2022-12-25 22:42
荒原之梦考研数学
阅读(
34
) 评论(
0
)
收藏
举报
刷新页面
返回顶部
公告