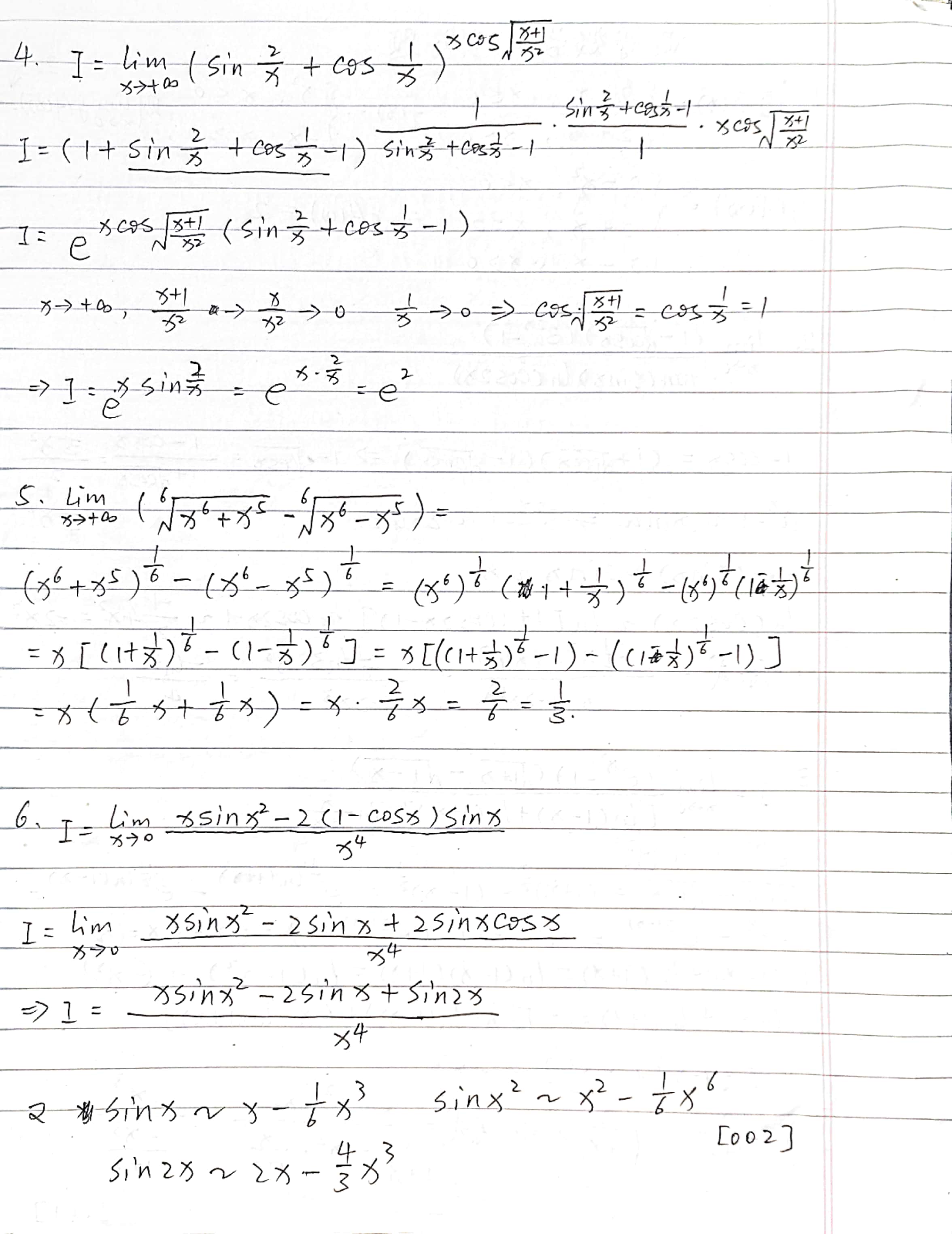
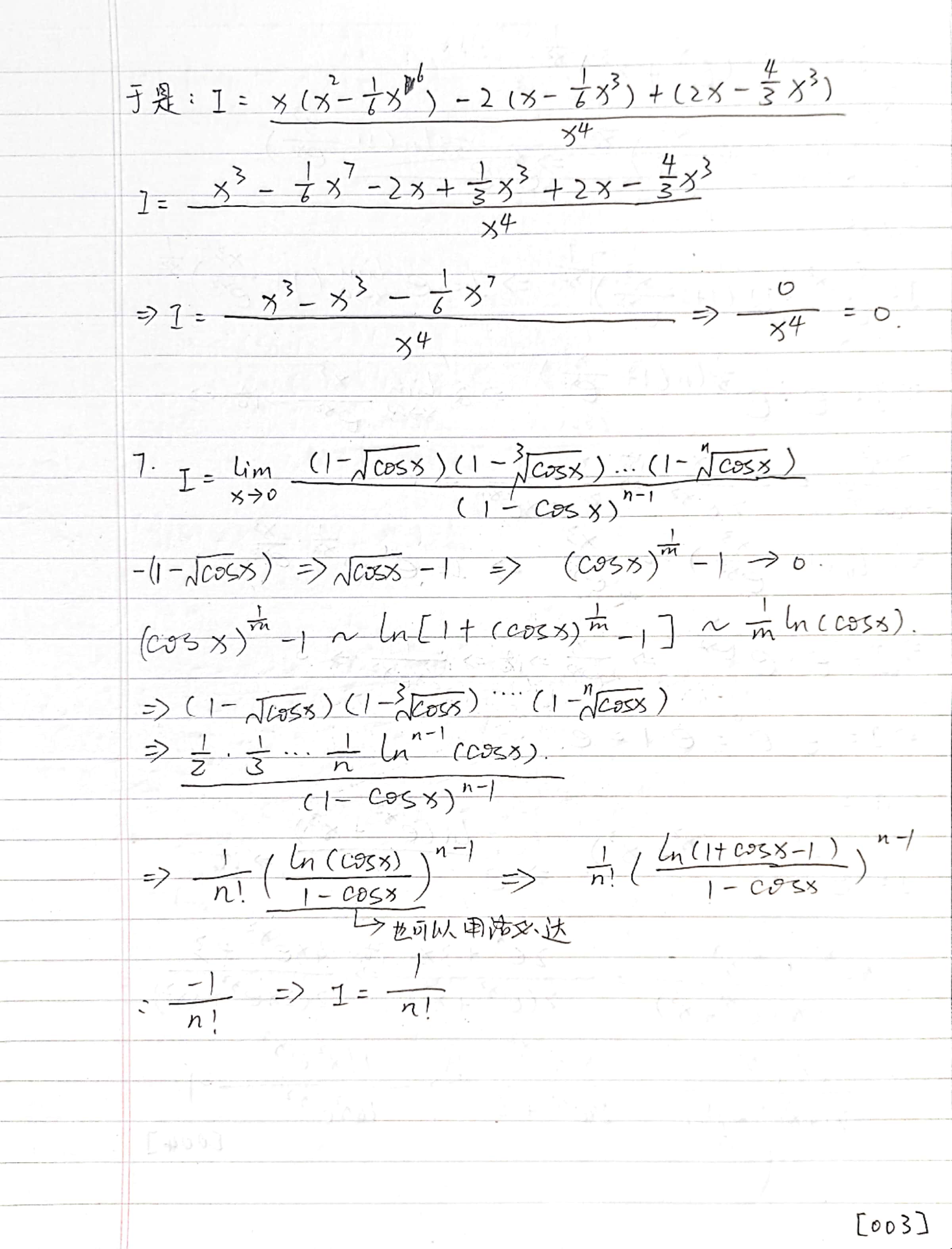
考研数学练习题-2022年12月23日
日期:2022年12月23日
数量:10





本文来自博客园,作者:荒原之梦考研数学,转载请注明原文链接:https://www.cnblogs.com/zhaokaifengcom/p/17001808.html
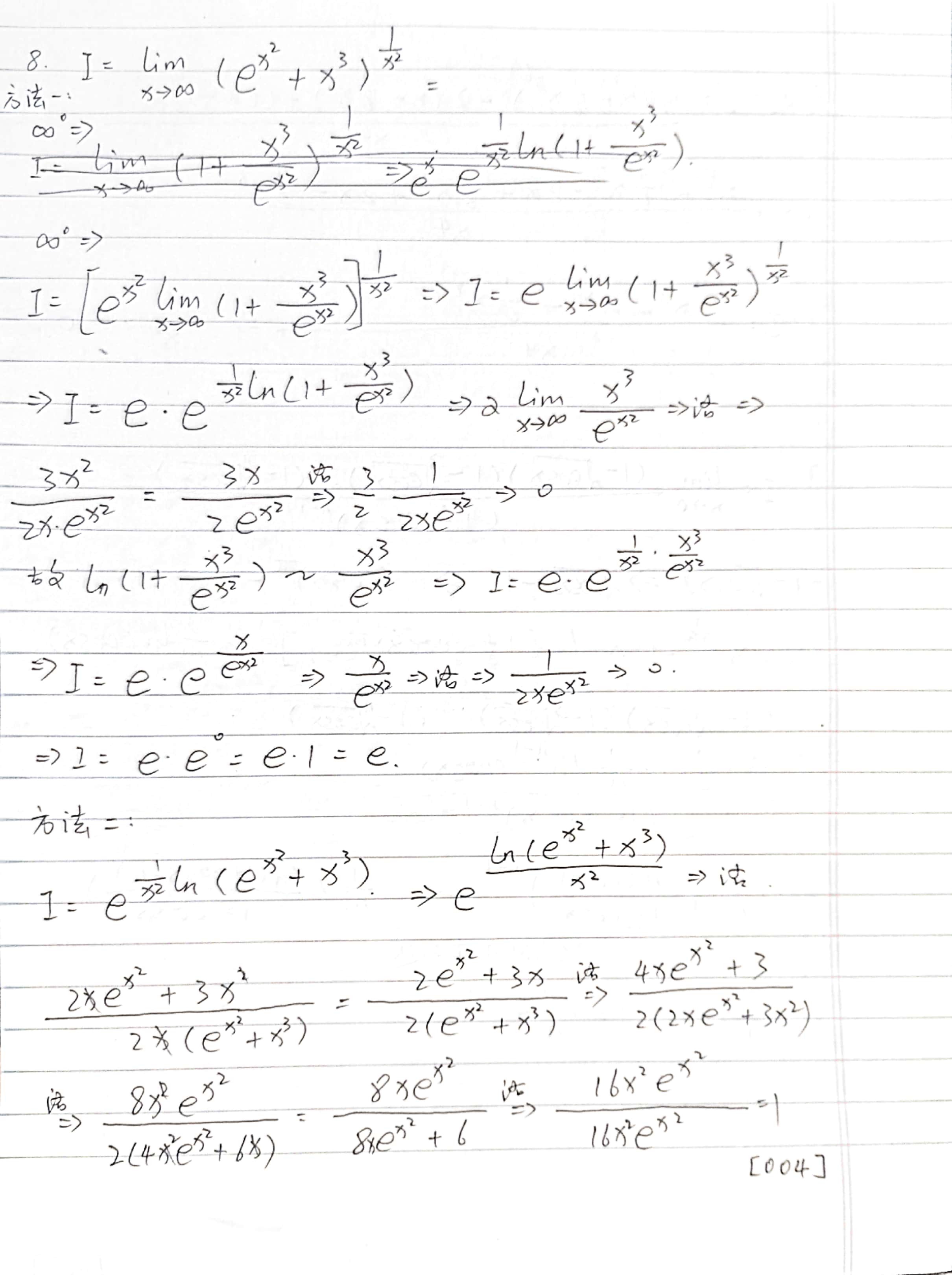
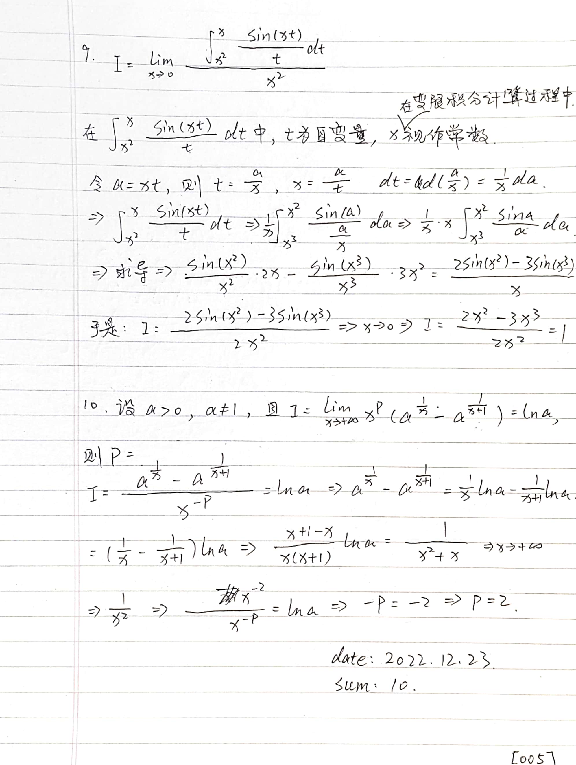
日期:2022年12月23日
数量:10





本文来自博客园,作者:荒原之梦考研数学,转载请注明原文链接:https://www.cnblogs.com/zhaokaifengcom/p/17001808.html