Java学习笔记26——跳转控制语句

break,continue,return 它们都是关键字
break:中断,结束的意思
break的使用场景:
根据单独使用的时候报错信息我们得出,break语句是适用于switch语句和循环语句中
1、在switch语句中使用
2、在循环语句中使用
3、单独在if语句中不能使用
break单独使用是没有任何意义的
需求1:输入1-7,输出对应的星期



现在想要程序不断运行,要加上死循环,让程序一直运行
死循环:while(true){}
如何让程序停止呢?
比如,我想输入0让程序停止。我需要立一个flag,
在外面定义一个boolean的变量flag默认是true,让我不想让程序进行下去的时候,我把flag的值改成false,就可以让程序跳出循环,停止运行了。这就需要输入一个对应的信号,触发false



需求2:循环打印1-10,加入break,让它在打印3的时候,结束for循环
那么加break怎么加呢?
先去判断它打印到哪里了,判断打印到3的时候break

如上图所示,break结束整个for循环
当输出语句改变位置时,结果也发生了改变,如下图

常见错误:
break只能在switch语句和循环语句中使用
不可以在if语句中使用
上个案例是因为在循环里面,所以可以使用
报错修改快捷键:将鼠标光标移动至报错的横线上,按下alt+enter
需求:
九九乘法表,在内循环j是4的时候,我们break一下
外层控制行,内层控制列

改变判断条件语句:

如果令j=i,会怎么样?

如果我想让上面的结果斜着排列怎么办?
那就需要其他的是空白,使用到的是制表符System.out.print("\t")
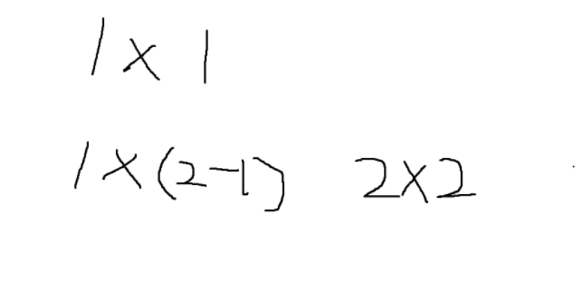
但是如何找到规律呢?
如上图所示,可以看出第一个空白的部分其实是1*(2-1),(2-1)代表i(行),1代表j(列)
两个制表符是为了得到的结果显示出来的效果好看
再回到需求

外层控制行,内层控制列,内层跳出时,外层还能单独运行
注意事项;单层跳出,在当前for循环中使用break,只结束当前for循环
多层跳出:带标签的break,合适: 标签名:循环语句(开发中如果没有特殊需求,一般不会去使用)
格式: 标签名:循环语句

如上图所示,在两个for循环语句前,分别给出不同的标签,想跳出哪一层,只需要在break后面写上这层循环中最大一层的标签即可
如果只想跳出列

continue:跳出当次循环
使用场景:
1、在循环语句中
2、离开使用场景的存在是没有意义的

单独使用报错,根据报错信息我们发现,continue只能在循环中使用
需求:打印1-10,加入continue关键字,在打印3的时候加入

如上图所示,结果跳过3
return:退回,退还
return关键字不是为了跳出循环体,更常用的功能是结束一个方法,也就是退出一个方法。
跳转到上层调用的方法。这个会在方法的使用那里会详细的讲解
演示案例:在main方法中使用,就相当于结束了main方法,也就是结束当前Java程序
return可以单独使用


程序执行到return就结束了,不会输出最后一句“你好呀 大家”

浙公网安备 33010602011771号