leetcode 142. 环形链表 II(Linked List Cycle II)
题目描述:
给定一个链表,返回链表开始入环的第一个节点。 如果链表无环,则返回 null。
为了表示给定链表中的环,我们使用整数 pos 来表示链表尾连接到链表中的位置(索引从 0 开始)。 如果 pos 是 -1,则在该链表中没有环。
说明:不允许修改给定的链表。
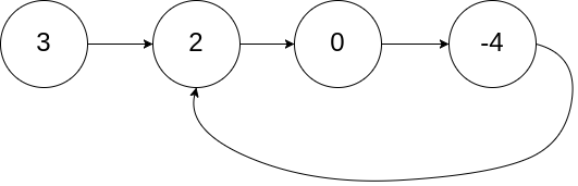
示例 1:

输入:head = [3,2,0,-4], pos = 1
输出:tail connects to node index 1
解释:链表中有一个环,其尾部连接到第二个节点。
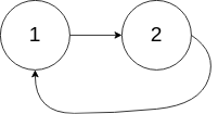
示例 2:

输入:head = [1,2], pos = 0
输出:tail connects to node index 0
解释:链表中有一个环,其尾部连接到第一个节点。
示例 3:

输入:head = [1], pos = -1
输出:no cycle
解释:链表中没有环。
进阶:
- 你是否可以不用额外空间解决此题?
解法:
/**
* Definition for singly-linked list.
* struct ListNode {
* int val;
* ListNode *next;
* ListNode(int x) : val(x), next(NULL) {}
* };
*/
class Solution {
public:
ListNode *detectCycle(ListNode *head) {
ListNode* _head = new ListNode(0);
_head->next = head;
ListNode* fast = _head;
ListNode* slow = _head;
do{
fast = fast->next;
if(fast == NULL){
return NULL;
}
fast = fast->next;
if(fast == NULL){
return NULL;
}
slow = slow->next;
}while(fast != slow);
fast = _head;
while(fast != slow){
fast = fast->next;
slow = slow->next;
}
return fast;
}
};

浙公网安备 33010602011771号