leetcode 590. N叉树的后序遍历(N-ary Tree Postorder Traversal)
题目描述:
给定一个 N 叉树,返回其节点值的后序遍历。
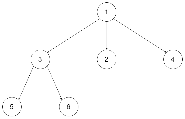
例如,给定一个 3叉树 :
返回其后序遍历: [5,6,3,2,4,1].
说明: 递归法很简单,你可以使用迭代法完成此题吗?
解法:
/*
// Definition for a Node.
class Node {
public:
int val;
vector<Node*> children;
Node() {}
Node(int _val, vector<Node*> _children) {
val = _val;
children = _children;
}
};
*/
class Solution {
public:
vector<int> postorder(Node* root) {
vector<int> res;
if(root){
for(Node* child : root->children){
vector<int> lst = postorder(child);
res.insert(res.end(), lst.begin(), lst.end());
}
res.push_back(root->val);
}
return res;
}
};

浙公网安备 33010602011771号