leetcode 589. N叉树的前序遍历(N-ary Tree Preorder Traversal)
题目描述:
给定一个 N 叉树,返回其节点值的前序遍历。
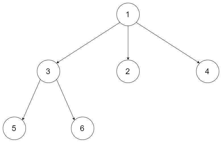
例如,给定一个 3叉树 :
返回其前序遍历: [1,3,5,6,2,4]。
说明: 递归法很简单,你可以使用迭代法完成此题吗?
解法:
/*
// Definition for a Node.
class Node {
public:
int val;
vector<Node*> children;
Node() {}
Node(int _val, vector<Node*> _children) {
val = _val;
children = _children;
}
};
*/
class Solution {
public:
vector<int> preorder(Node* root) {
vector<int> res;
if(!root){
return res;
}else{
res.push_back(root->val);
for(Node* node : root->children){
vector<int> lst = preorder(node);
res.insert(res.end(), lst.begin(), lst.end());
}
return res;
}
}
};

浙公网安备 33010602011771号