141. 环形链表(Linked List Cycle)
题目描述:
给定一个链表,判断链表中是否有环。
为了表示给定链表中的环,我们使用整数 pos 来表示链表尾连接到链表中的位置(索引从 0 开始)。 如果 pos 是 -1,则在该链表中没有环。
示例 1:
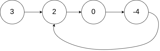
输入:head = [3,2,0,-4], pos = 1
输出:true
解释:链表中有一个环,其尾部连接到第二个节点。
示例 2:
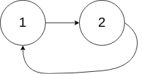
输入:head = [1,2], pos = 0
输出:true
解释:链表中有一个环,其尾部连接到第一个节点。
示例 3:
输入:head = [1], pos = -1
输出:false
解释:链表中没有环。
进阶:
- 你能用 O(1)(即,常量)内存解决此问题吗?
解法:
/**
* Definition for singly-linked list.
* struct ListNode {
* int val;
* ListNode *next;
* ListNode(int x) : val(x), next(NULL) {}
* };
*/
class Solution {
public:
bool hasCycle(ListNode *head) {
ListNode* fast = head;
ListNode* slow = head;
do{
if(fast){
fast = fast->next;
}else{
break;
}
if(fast){
fast = fast->next;
}else{
break;
}
slow = slow->next;
}while(fast != slow);
return fast != NULL;
}
};

浙公网安备 33010602011771号