欧拉定理
回顾
再看一下前置知识
一定要熟悉欧拉函数的三条性质
正文
欧拉定理
若\(a\)与\(m\)互质,则\(a^{\varphi(m)}\equiv 1\pmod{m}\)。其中\(\varphi()\)为欧拉函数。
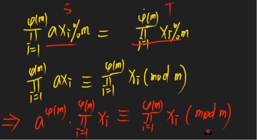
证明:设\(\leq m\)且与\(m\)互质的正整数的集合为\(T=\{x_1,x_2,x_3,...,x_{\varphi(m)}\}\)
令\(S={ax_1\%m,ax_2\%m,...,ax_{\varphi(m)}}\%m\)
任取\(i\in\{1,\varphi(m)\}\)
因为\(\gcd(a,m)=1,\gcd(x_i,m)=1\)
所以\(\gcd(ax_i,m)=1\)
所以\(\gcd(ax_i\%m,m)=1\)(辗转相除法)
因为\(S\)中的元素\(ax_i\%m\)于\(m\)互质且均小于\(m\),所以\(S=T\)。
接下来的推导请看图

因为\(x_i\)与\(m\)互质,两边的一大坨约掉,证毕。
欧拉定理的推论
对于任意正整数\(b\)
\(a^b\equiv a^{b\%\varphi(m)}\pmod{m}\)
证明:
设\(b=q\varphi(m)+r\),其中\(r=b\%\varphi(m)\)

扩展欧拉定理
\(a,m\)不需要互质
若\(b\geq \varphi(m)\),则\(a^b\equiv a^{b\%\varphi(m)+\varphi(m)}\pmod{m}\)
证明不会。
应用
当\(b\)特别大时,先对\(b\)关于\(\varphi(m)\)取模,然后再计算,对\(m\)取模
有的人会问,如果\(b<\varphi(m)\)怎么办呢?直接快速幂啊!!!
P5091 【模板】扩展欧拉定理
模板题
#include <bits/stdc++.h>
#define int long long
using namespace std;
const int maxn = 1e8 + 5;
int phi(int n) //欧拉函数, 也可以用O(sqrt N)的线性方法
{
int res = n;
for(int i = 2; i * i <= n; i++)
{
if(n % i == 0)
res = res / i * (i - 1);
while(n % i == 0)
n /= i;
}
if(n > 1)
res = res / n * (n - 1);
return res;
}
int qpow(int a, int b, int p) //快速幂
{
int res = 1;
while(b)
{
if(b & 1) res = res * a % p;
a = a * a % p;
b >>= 1;
}
return res;
}
signed main()
{
int a, m, b = 0;
cin >> a >> m;
char c = getchar();
while(!isdigit(c)) c = getchar();
int PH = phi(m);
bool fl = false;
while(isdigit(c))
{
int cur = c - '0';
b = b * 10 + cur;
if(b >= PH)
{
b %= PH;
fl = true; //注意扩展欧拉定理的适用条件
}
c = getchar();
}
if(fl) cout << qpow(a, b + PH, m);
else cout << qpow(a,b,m);
return 0;
}
制作不易,点个赞在走吧(QAQ)

浙公网安备 33010602011771号