7-15 非线性规划
1。

i = 1, 2, 3

满足需求的方程是二次幂
此时运算很长时间,为了减小时间
上取整
确定上界

2.


第二行,总数小于等于20吨
第三行,每个工地运量 大于等于需求
3.

求a,b,c 的平均值 求ab协方差或者ac,bc


第二小题,国库卷没有风险,所以方差为0





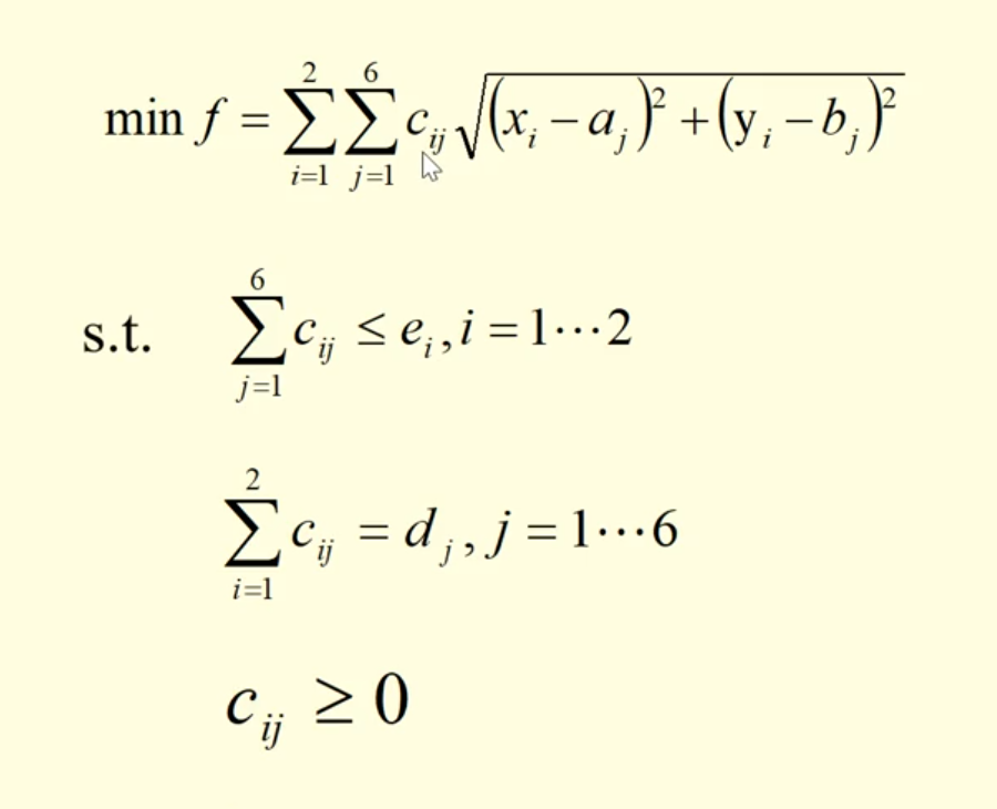
1。

i = 1, 2, 3

满足需求的方程是二次幂
此时运算很长时间,为了减小时间
上取整
确定上界

2.


第二行,总数小于等于20吨
第三行,每个工地运量 大于等于需求
3.

求a,b,c 的平均值 求ab协方差或者ac,bc


第二小题,国库卷没有风险,所以方差为0




