7-13 异常值检测
1.均方差异常检测算法
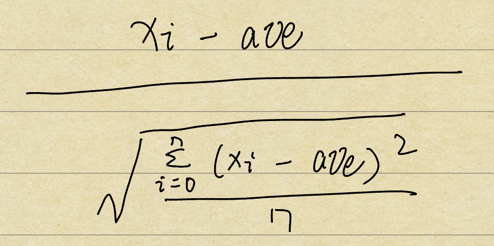
2.Z-scores算法
def Z_Score(data):
lenth = len(data)
total = sum(data)
ave = float(total)/lenth
tempsum = sum([pow(data[i] - ave,2) for i in range(lenth)])
tempsum = pow(float(tempsum)/lenth,0.5)
for i in range(lenth):
data[i] = (data[i] - ave)/tempsum
return data
print(Z_Score([2,2,3,4,5,6,7,8]))
print(Z_Score([10,20,30,40,50,60,70,80]))
print(Z_Score([20,20,30,40,50,60,70,80]))

3.Tukey's Test算法

浙公网安备 33010602011771号