论文解读-GCN
1,论文介绍
论文题目:Semi-Supervised Classification with Graph Convolutional Networks
论文发表

对于传统的半监督学习方法来说,图数据的损失函数:使用了基于图的拉普拉斯正则化项的。

其中L0代表是是有监督损失, 后面的正则化项过于严格,要求节点之间的标签是平滑的,建立在相邻的节点有着类似的标签,这就限制了模型的表达能力,图的边不是必须连接类似节点,是由可能蕴含更多其他信息的。
2,论文贡献
1,提出了一种简单的,以层为单位的图神经网络
2,将这种图神经网络用于图的半监督学习,实验证明了取得了优秀效果
3,本文工作
图的快速近似卷积,基于切比雪夫网络的思想,使用切比雪夫一阶展开的卷积核,形成一层新的GCL,如果需要对多阶的特征进行提取,则进行多个GCL的堆叠即可实现。
图的特征可以被图上局部算子的一阶逼近来实现。

3.1,谱图卷积
谱图卷积可以定义为信号x和其核算子g在傅里叶域上的乘积。

其中U是归一化图的拉普拉斯变换后的特征矩阵,计算量大。为了降低计算维度,使用切比雪夫多项式的K阶来近似g。

因为有:

λmax代表的是L的最大特征值,
在多层级的网络里面,为了尽量简化的每一层的工作,把λmax近似为2,即可得到

其中只有两个参数,而且这两个参数可以被整个图进行共享。
把上面的算子进行连续叠加即可达到提升一个节点的k阶近邻的特征。
在实际应用中,进一步限制参数的个数,减少两个为一个。
让

那么上面的公式变为

注意到 上面括号部分的表达式的范围为 [0, 2] ,那么多层的叠加可能会导致数值的不稳定。使用重新归一化技巧

其中:


可以得到信号X的最终核算子

3.2实际应用
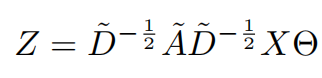
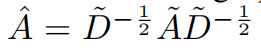
将上述的GCL来构建一个二层的GCN去解决半监督节点分类问题,基于一个对称邻接矩阵。
令

那么可以得到一个简单的形式

其中w0是第一层的可学习权重,w1是第二层的可学习权重。
网路示意图

4,实验设置
半监督的节点分类实验,主要以planetoid为基础和主要对比对象

实验还针对不同的传播模型进行实验比较,实验也验证了本文的核心算法的效果。

5,代码实现
以下的代码为基于Pytorch来实现
# 图卷积层的定义
class GraphConvolution(nn.Module):
def __init__(self, input_dim, output_dim, use_bias=True):
super(GraphConvolution, self).__init__()
self.input_dim = input_dim # 输入特征向量的维度
self.output_dim = output_dim # 输出特征向量的维度
self.use_bias = use_bias
self.weights = nn.Parameter(torch.Tensor(input_dim, output_dim))
if self.use_bias:
self.bias = nn.Parameter(torch.Tensor(output_dim))
else:
self.register_parameter('bias', None)
self.reset_parameters()
def reset_parameters(self):
init.kaiming_uniform_(self.weights)
if self.use_bias:
init.zeros_(self.bias)
def forward(self, adjacency, input_feature):
support = torch.mm(input_feature, self.weights)
output = torch.sparse.mm(adjacency, support)
if self.use_bias:
output += self.bias
return output
def __repr__(self):
return self.__class__.__name__ + '(' + str(self.input_dim) + \
' -> ' + str(self.output_dim) + ')'
# 二层的图卷积神经网络
class GCNNet(nn.Module):
def __init__(self, input_dim=1433, hiddden_dim=16, output_dim=7):
super(GCNNet, self).__init__()
self.gcn1 = GraphConvolution(input_dim, hiddden_dim)
self.gcn2 = GraphConvolution(hiddden_dim, output_dim)
def forward(self, adjacency, feature):
h = F.relu(self.gcn1(adjacency, feature))
h = F.dropout(h, p=0.5, training=self.training)
logits = self.gcn2(adjacency, h)
return logits
6,总结
算法的理论是一脉相承下来。一般关键点的论文,对前人工作的分解,简化和优化,一般能做到简化和提效,基本可以意味着一种新的通用方法的可广泛推广。

浙公网安备 33010602011771号