微观经济学原理
经济学十大原理
人们如何做出决策
- 人们面临权衡取舍
- 某种东西的成本是为了得到它所放弃的东西
- 理性人考虑边际量
- 人么会对激励做出反应
人们如何相互影响
- 贸易可以使每个人的状况都变得更好
- 市场通常是组织经济活动的一种好方法
- 政府有时可以改善市场结果
整体经济如何运行
- 一国的生活水平取决于它生产物品与服务的能力
- 当政府发行了过多货币时,物价上升
- 社会面临通货膨胀与失业之间的短期权衡取舍
微观、宏观经济学
微观经济学:研究家庭和企业如何做出决策,以及它们如何在市场上相互交易的学科
宏观经济学:研究整体经济现象,包括通货膨胀、失业和经济增长的学科
怎么样决策才能使得总体效率最高
家庭必须考虑到每个成员的能力、努力和愿望,以在其各个成员间分配稀缺资源(时间、甜点、汽车行驶里程)
社会也必须找到某种方法来决定将要做哪些工作以及谁来做这些工作
资源稀缺性
社会所拥有的资源是有限的,因此不能生产人们希望拥有的所有物品与服务
经济学主要做什么
研究社会如何管理自己的稀缺资源
经典的权衡取舍
提高国内生活水平的消费品及保护国家不受侵犯所需的国防支出
清洁的环境和高收入水平之间的权衡取舍
经济蛋糕的大小和分配
效率
效率指经济蛋糕的大小,是指社会能从其稀缺资源中的得到最大的利益
平等
平等指如何分割蛋糕,指经济成果在社会成员中平均分配的特性
机会成本
为了得到某种东西所必须放弃的东西
理性人
系统而有目的地尽最大努力实现其目标的人
边际变动
描述对现有行动计划的微笑增量调整
理性人如何做决策
理性人通常通过比较边际收益与边际成本来做决策
飞机空位出售问题
如果乘客所支付的价格高于边际成本(额外消费的饮料和餐费),那么卖给他机票就是有利可图的
激励
指引起一个人做出行动的某种东西(例如对惩罚或奖励的预期)
价格作为激励的影响
价格对消费者和生产者行为的影响对于市场经济如何配置稀缺资源是至关重要的
安全带法律作为激励的影响
安全带减少了缓慢而谨慎地开车的收益,人们更快速、更不谨慎地开车,开车安全程度的下降对行人有明显不利的影响,因此正常改变了激励,就会使人们改变自己的行为
贸易的优势
贸易使每个人都可以专门从事自己最擅长的活动,无论它是耕种、做衣服还是盖房子,通过与他人开展贸易,人们可以以较低的成本获得各种各样的物品和服务
市场经济
当许多企业和家庭在物品与服务市场上相互交易时,通过他们的分散决策配置资源的经济
产权
个人拥有并控制稀缺资源的能力
市场失灵
市场本身不能有效配置资源的情况,比如垄断
市场权利
单个经济活动者(或某个经济活动小群体)对市场价格有显著影响的能力
外部性
一个人的行为对旁观者的福利产生了影响。比如一种产品的生产污染了空气并引起住在工厂附件人们的健康问题时,市场本身并不能将这种成本考虑在内。
生产率
每单位劳动投入所生产的物品与服务的数量,生产率越高,国民生活水平越高
通货膨胀
由于货币量的增长,货币价值降低,导致经济中物价总水平的上升
经济周期
是用生产的物品与服务量或雇用的人数来衡量的经济活动的无规律的、很大程度上无法预测的波动
通货膨胀和失业之间的权衡取舍
- 货币量增加刺激了社会的总体消费水平,从而导致对物品和服务需求增加
- 需求的增加会引起企业提高物价,同事鼓励雇用更多的工人,生产更多的物品和服务
- 雇用更多的工人意味着更少的失业
循环流量图
一个说明货币如何通过市场在家庭与企业之间流动的直观经济模型

外面的环形是商品流动:家庭在生产要素市场上把劳动、土地和资本出售给企业,企业用这些要素生产物品与服务,这些物品与服务又在物品与服务市场上出售给家庭
里面的环形是货币流动:家庭付钱从企业购买物品与服务,企业用一部分销售收入支付生产要素的报酬,如工人的工资,所剩下的收入是企业所有者的利润,而企业所有者本身也是家庭的成员
生产可能性边界
- 表示在可得到的生产要素与生产技术既定时,一个经济所能生产的产品数量的各种组合的图形
- 一个经济可以用它所拥有的资源在生产可能性边界上及以内的任何一点进行生产,但不能在这条边界以外的任何一点进行生产
- 如果一个经济从它可获得的稀缺资源中获得了它能得到的全部东西,我们称这种结果代表了有效率的生产水平,当经济在生产可能性边界上(而不是这条线之内)的个点代表了有效率的生产水平
- 可以用生产可能性边界的斜率,表明了如何用另一种物品来衡量一种物品的机会成本
贸易的优势
- 贸易双方都能获益是因为贸易使我们每个人都可以从事自己最擅长的工作,这就是专业化和贸易带来的好处
- 贸易可以使社会上的每个人都获益,因为它使人们可以专门从事他们具有比较优势的活动
绝对优势
一个生产者用比另一个生产者更少的投入生产某种产品的能力
比较优势
一个生产者以低于另一个生产者的机会成本生产某种物品的能力
专业化和贸易实质
专业化和贸易的好处不是基于绝对优势,而是基于相对优势,当每个人都专门生产自己有比较优势的物品时,经济的总产量就增加了,经济蛋糕的变大可以改善每个人的状况
贸易的价格
对从贸易中获益的双方而言,他们进行贸易的价格在两种机会成本之间
边际成本递增
边际成本递增是指当产量增加到一定程度之后,若要继续增加产量,那么增加单位产量所增加的成本将越来越大。说明产量达到一定时,再增加产出的话会使成本呈现递增的趋势。
当实际产量未达到一定限度时,边际成本随产量的扩大而递减;当产量超过一定限度时,边际成本随产量的扩大而递增。因为,当产量超过一定限度时,总固定成本就会递增。由此可见影响边际成本的重要因素就是产量超过一定限度(生产能力)后的不断扩大所导致的总固定费用的阶段性增加。
如何达到效率最优
学会利用比较优势,让各人做自己最擅长的事情,且保证每个人最后所做的一项工作的效率相等
进口品/出口品
进口品:在国外生产而在国内销售的物品称为进口品
出口品:在国内生产而在国外销售的物品称为出口品
国家间贸易
比较优势原理说明,每种物品应该由生产这种物品机会成本较低的国家生产
尽管国际贸易可以使国家作为一个整体的状况变好,但也会使其中一些人的状况变坏
市场
由某种物品或服务的买者与卖者组成的一个群体。买者作为一个群体决定了一种产品的需求,而卖者作为一个群体决定了一种产品的供给
价格和销售量的决定
价格和销售量是由所有买者和卖者通过在市场上个相互交易而共同决定的
竞争市场
由许多买者和卖者,以至于每个人对市场价格的影响都微乎其微的市场
完全竞争
- 可供销售的物品是完全相同的
- 买者和卖者人数众多,以至于没有任何一个买者或卖者可以影响市场价格
垄断
一些市场只有一个卖者,并且由这个卖者决定价格
需求概念
需求量:买者愿意并且能够购买的一种物品的数量
需求定理:在其他条件不变的情况下,一种物品的价格上升,对该物品的需求量减少;一种物品的价格下降,对该物品的需求量增加
需求曲线:表示一种物品的价格和需求量之间关系的图形
市场需求和个人需求
市场需求是所有个人对某种特定物品或服务的需求的总和,把个人需求曲线水平相加得到市场需求曲线
需求增加/减少
需求增加:使每一种价格水平下的需求量增加的任何变动,都会使需求曲线向右移动,我们称之为需求增加。
需求减少:使每一种价格水平下的需求量减少的任何变动,都会使需求曲线向左移动,我们称之为需求减少。
正常物品/低档物品
正常物品:当收入减少时,如果一种物品的需求量减少,那么这种物品就被称为正常物品。
低档物品:当收入减少时,如果一种物品的需求量增加,那么这种物品就被称为低档物品。
替代品/互补品
替代品:当一种物品的价格下降引起对另一种物品的需求量减少时,这两种物品被称为替代品。如毛衣和长袖衫
互补品:当一种物品的价格下降引起对另一种物品的需求量增加时,这两种物品被称为互补品。如汽车和汽油
需求曲线的移动和变动
只有当用坐标轴表示的变量以外的其他相关变量变动时,曲线才会移动。由于价格用纵坐标表示,所以价格的变动表现为沿着需求曲线的变动
供给概念
供给量:卖者愿意并且能够出售的一种物品的数量
供给定理:在其他条件不变时,一种物品的价格上升,该物品供给量增加;一种物品价格下降,该物品供给量减少
供给曲线:表示一种物品的价格和供给量之间关系的图形
市场供给和个人供给
市场供给是所有个人对某种特定物品或服务的供给的总和,把个人需供给曲线水平相加得到市场供给曲线
供给增加/减少
供给增加:使每一种价格水平下的供给量增加的任何变动,都会使供给曲线向右移动,我们称之为供给增加。
供给减少:使每一种价格水平下的供给量减少的任何变动,都会使供给曲线向左移动,我们称之为供给减少。
供给曲线的移动和变动
只有当用坐标轴表示的变量以外的其他相关变量变动时,曲线才会移动。由于价格用纵坐标表示,所以价格的变动表现为沿着供给曲线的变动
均衡相关概念
均衡:市场价格达到供给量与需求量相等的水平时的状态
均衡价格:使供给与需求平衡的价格
均衡数量:均衡价格下的供给量和需求量
供求定理
任何一种物品的价格都会自发调整,使该物品的供给和需求达到平衡
看不见的手
亚当斯密著名论断中说,有一只看不见的手引导者市场经济,那么,价格制度就是这只看不见的手,用来指挥经济交响乐队的指挥棒
| 供给未变 | 供给增加 | 供给减少 | |
|---|---|---|---|
| 需求未变 | 价格相同,数量相同 | 价格下降,数量增加 | 价格上升,数量减少 |
| 需求增加 | 价格上升,数量增加 | 价格不确定,数量增加 | 价格上升,数量不确定 |
| 需求减少 | 价格下降,数量减少 | 价格下降,数量不确定 | 价格不确定,数量减少 |
弹性
衡量需求量或供给量对某种决定因素的变动的反应程度的指标
需求价格弹性
用来衡量需求量对价格变动的反应程度。如果一种物品的需求量对价格变动的反应很大,我们就说这种物品的需求是富有弹性的。如果一种物品的需求量对价格变动的反应很小,我们就说这种物品的需求是缺乏弹性的。
决定需求价格弹性的经验法则
相近替代品的可获得性:有相近替代品的物品的需求往往较富有弹性,因为消费者从这种物品转向其他物品较为容易。例如黄油和人造黄油
必需品和奢侈品:必需品的需求往往缺乏弹性,而奢侈品的需求往往富有弹性
市场的定义:任何一个市场的需求弹性都取决于我们如何划定市场的边界。狭窄定义的市场的需求弹性往往大于宽泛定义的市场的需求弹性,因为狭窄定义的市场中的物品更容易找到相近的替代品
时间范围:物品的需求往往在长期内更富有弹性。当汽油价格上升时,短期内需求量可能没什么变化,但随着时间的推移,可能导致汽油的需求量大幅度变化
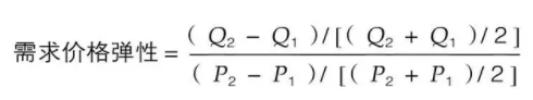
需求价格弹性的计算
需求价格弹性=需求量变动百分比/价格变动百分比,表明需求价格弹性越大,需求量对价格变动的反应越大
中点法:一个计算变动百分比和弹性的更好方法
考虑到从A点到B点的弹性似乎不同于从B点到A点的弹性,产生这种差别是因为上述变动百分比是根据不同的基础计算的,而中点法是用变动量除以原先水平与最后水平的中点值来计算变动百分比。
计算(Q1,P1)和(Q2,P2)两点间需求价格弹性的中点法可以如此表示:

需求曲线根据弹性分类
当弹性大于1,即需求量变动的比例大于价格变动的比例时,需求是富有弹性的。
当弹性小于1,即需求量变动的比例小于价格变动的比利时,需求是缺乏弹性的。
当弹性等于1,即需求量与价格同比例变动时,称需求具有单位弹性
需求弹性和需求曲线斜率的关系
通过给定一点的需求曲线越平坦,需求价格弹性就越大;通过给定一点的需求曲线越陡峭,需求价格弹性就越小。
总收益
一种物品的买者支付从而卖者得到的量,用该物品的价格乘以销售量来计算。
需求弹性与总收益的关系
- 当需求缺乏弹性(价格弹性小于1),价格和总收益同方向变动;如果价格上升,总收益增加
- 当需求富有弹性(价格弹性大于1),价格和总收益反方向变动;如果价格上升,总收益减少
- 当需求是单位弹性的(价格弹性等于1),当价格变动时,总收益保持不变
线性需求曲线
在一条需求曲线上的个点的需求价格弹性不一定相同。在价格低而数量高的各点上,需求曲线是缺乏弹性的;在价格高而数量低的各点上,需求曲线是富有弹性的。
需求收入弹性
衡量消费者收入变动时需求量如何变动。
需求收入弹性=需求量变动百分比/收入变动百分比
需求的交叉价格弹性
衡量一种物品需求量对另外一种物品价格变动的反应程度。
需求的交叉价格弹性=物品1的需求量变动百分比/物品2的价格变动百分比
交叉价格弹性是正数还是负数取决于这两种物品是替代品还是互补品。
供给价格弹性
衡量供给量对价格变动的反应程度。如果供给量对价格变动的反应很大,就说这种物品的供给是富有弹性的;如果供给量对价格变动的反应很小,就说这种物品的供给是缺乏弹性的。
供给价格弹性=供给量变动百分比/价格变动百分比
时间对供给价格弹性的影响
决定供给价格弹性的一个关键因素是所考虑的时间长短,供给的弹性在长期中通常都大于短期。在短期中,企业不能轻易地改变它们工厂的规模来增加或减少一种物品的产量。因此,在短期中供给量对价格不是很敏感,在长期中,企业可以开设新工厂或关闭旧工厂,因此供给量可以对价格变动做出相当大的反应
预测外部条件变动可能带来的影响
- 考虑是供给曲线移动还是需求曲线移动
- 考虑曲线移动的方向
- 说明这种移动如何影响均衡价格和均衡数量
价格上限/价格下限
价格上限:出售一种物品的法定最高价格
价格下限:出售一种物品的法定最低价格
政府实行价格上限/下限
当政府对竞争市场实行限制性价格上限时,并且该价格上限低于原均衡价格,市场就产生了物品的短缺,而且卖者必须在大量潜在买者中配给稀缺物品
当政府对竞争市场实行限制性价格下限时,并且该价格上限高于原均衡价格,市场就产生了物品的过剩,而且卖者必须迎合买者的个人偏好才能出售自己的产品
税收归宿
税收负担在市场参与者之间进行分配的方式
税收影响
- 税收抑制了市场活动。当对一种物品征税时,该物品在新均衡时的销售量减少了
- 买者和卖者分摊了税收负担。在新均衡下,买者为该物品支付的更多了,而卖者得到的更少了
应该向买者还是卖者征税呢
对买者征税和对卖者征税是等同的。无论向谁征税,一旦市场达到新均衡,都是买者和卖者分摊税收负担
税收负担划分
税收负担更多地落在缺乏弹性的市场一方身上。在本质上,弹性衡量当条件变得不利时,卖者或买者离开市场的意愿。需求弹性小意味着买者对消费某种物品没有适当的替代品。供给弹性小意味着卖者对生产某种物品没有适当的替代品。当对这种物品征税是,适当替代品较少的市场一方不太愿意离开市场,从而必须承担更多的税收负担
福利经济学
研究资源配置如何影响经济福利的一门学问
支付意愿
每一个买者愿意支付的最高价格称为支付意愿,它衡量买者对物品的评价
消费者剩余
买者愿意为一种物品支付的量减去其为此实际支付的量,衡量了买者从一种物品中得到的自己感觉到的利益,用需求曲线以下和价格以上的面积衡量一个市场上的消费者剩余
成本
卖者为了生产一种物品而必须放弃的所有东西的价值
生产者剩余
卖者出售一种物品得到的量减去其生产成本,用价格之下和供给曲线以上的面积衡量一个市场上的生产者剩余
效率和平等
效率:资源配置使社会所有成员得到的总剩余最大化的性质,如果资源配置可以使总剩余最大化,那么我们就可以说这种配置是有效率的
平等:在社会成员中平均地分配经济成果的性质
在本质上,从市场贸易中获得的利益就像一块要在市场参与者间分配的蛋糕。效率问题涉及的是蛋糕是否尽可能地做大了。平等问题涉及的是如何把这块蛋糕切成小块,以及如何在社会成员中进行分配它们。
总剩余
消费者剩余=买者的评价-买者支付的量
生产者剩余=卖者得到的量-卖者的成本
总剩余=买者的评价-卖者的成本
实质上,就是消费者剩余和生产者剩余的总和,是供给曲线和需求曲线到均衡数量之间的面积
市场结果
- 自由市场把物品的供给分配给对这些物品评价最高的买者,这种评价用买者的支付意愿来衡量
- 自由市场将物品的需求分配给能够以最低成本生产这些物品的卖者
- 自由市场生产出使消费者剩余和生产者剩余的总和最大化的物品量
市场失灵
市场势力导致:在一些市场上,某个单个卖者或买者可以控制市场价格,这种影响价格的能力被称为市场势力,市场势力可以使市场无效率,因为它会使价格和数量背离供求均衡
外部性:在现实世界中,买者和卖者的决策会影响那些根本不参与市场的人。比如说污染,市场的这种副作用被称为外部性,它使市场福利不仅仅取决于买者的评价和卖者的成本。由于买者和卖者在决定消费量和生产量时并没有考虑这种副作用,所以从整个社会的角度看,市场均衡可能是无效率的
无谓损失
当税收或某种其他政策扭曲了市场结果时其所引起的总剩余减少被称为无谓损失
税收引起无谓损失是因为它使买者和卖者不能实现某些贸易的好处,即买者的评价与卖者的成本之间的差额小于税收,导致贸易无法进行,无谓损失就是由于税收阻止了这些互利的贸易而引起的剩余损失
供给需求弹性对无谓损失的影响
当供给比较缺乏弹性时,税收的无谓损失较小。当供给比较富有弹性时,税收的无谓损失较大
当需求比较缺乏弹性时,税收的无谓损失较小。当需求比较富有弹性时,税收的无谓损失较大
世界价格
一种物品在世界市场上通行的价格
贸易对出口国的影响
- 当一国允许贸易并成为一种物品的出口者时,国内该物品生产者的状况变好了,而国内该物品消费者的状况变坏了
- 从赢家收益超过了输家损失的意义上说,贸易使一国的经济福利增加了
贸易对进口国的影响
- 当一国允许贸易并成为一种物品的进口者时,国内该物品消费者的状况变好了,而国内该物品生产者的状况变坏了
- 从赢家收益超过了输家损失的意义上说,贸易使一国的经济福利增加了
关税
对在国外生产而在国内销售的物品征收的一种税。
关税减少了进口量,并使国内市场向没有贸易时的均衡移动。
关税提高了国内价格,国内卖者的状况变好了,而国内的买者的状况变坏了。
进口配额
无论是关税还是进口配额,它们都减少了进口品的数量,提高了该物品的国内价格,减少了国内消费者的福利,增加了国内生产者的福利,并引起无谓损失
自由贸易后会发生什么变化
一旦允许贸易,本国的贸易物品将被推动到等于全世界通行价格的水平。
如果世界价格高于本国的价格,我们的价格将上升。较高的价格会减少本国人的贸易物品消费量,并增加本国人的贸易物品生产量。因此,本国将成为一个贸易物品出口者。之所以出现这种情况,是因为本国在生产此种贸易物品上有比较优势。
如果世界价格低于本国的价格,我们的价格将下降。较低的价格会增加本国人的贸易物品消费量,并减少本国人的贸易物品生产量。因此,本国将成为一个贸易物品进口者。之所以出现这种情况,是因为替他国家在生产此种贸易物品上有比较优势。
谁将从自由贸易中获益
如果价格上升,则贸易物品生产者受益,贸易物品消费者受损;
如果价格下降,则贸易物品消费者受益,贸易物品生产者受损。
在这两种情况下,收益都超过了损失,因此自由贸易会增加本国人的总福利。
关税应该作为贸易的一部分吗
只有当本国成为贸易物品的进口国时,关税才有影响。在这种情况下,关税使经济接近于没有贸易时的均衡,而且,它与大多数税收一样,也会产生无谓损失。虽然关税改善了国内生产者的福利,并增加了政府收入,但这些收益不足以弥补消费者的福利损失。从经济学的角度看,最好的政策是允许无关税的贸易。
外部性
当一个人从事一种影响旁观者福利但对这种影响既不付报酬又不得报酬的活动时,就产生了外部性。如果对旁观者的影响是不利的,就称为负外部性;如果这种影响是有利的,就称为正外部性。当存在外部性时,社会对市场结果的关注扩大到参与市场的买者与卖者的福利之外,以包括那些间接受影响的旁观者的福利。由于买者与卖者在决定其需求量或供给量时忽略了他们行为的外部效应,因此当存在外部性时,市场均衡并不是有效率的。这就是说,均衡并没有实现整体社会总利益的最大化。
如何解决外部性问题
负外部性使市场生产的数量大于社会合意的数量,正外部性使市场生产的数量小于社会合意的数量。为了解决这个问题,政府可以通过对有负外部性的物品征税和给予有正外部性的物品补贴来使外部性内在化。
政府对外部性的解决方案
- 命令与控制政策直接对行为进行管制;
- 以市场为基础的政策提供激励,以促使私人决策者自己来解决问题;
科斯定理
认为如果私人各方可以无成本地就资源配置进行协商,那么,他们就可以自己解决外部性问题的观点。
私人经济主体可以解决他们之间的外部性问题。无论最初的权利如何分配,有关各方总可以达成一种协议,在这种协议中,每个人的状况都可以变好,而且,结果是有效率的。
交易成本
各方在达成协议与遵守协议过程中所发生的成本。
排他性
一种物品具有的可以阻止一个人使用该物品的特性
消费中的竞争性
一个人使用一种物品将减少其他人对该物品的使用的特性
物品的几种分类
私人物品:既具有排他性又有消费中的竞争性。例如冰淇淋
公共物品:既无排他性又无消费中的竞争性。如地震警报器
公共资源:具有消费中的竞争性但没有排他性。如海洋里捕鱼
俱乐部物品:具有排他性但没有消费中的竞争性。如消防
搭便车者
得到一种物品的收益但避免为此付费的人
成本-收益分析
比较提供一种公共物品的社会成本与社会收益的研究
公地悲剧
一个说明从整个社会的角度看,为什么公共资源的使用大于合意水平的寓言。
结论是:当一个人使用公共资源时,他就减少了其他人对这种资源的享用。由于存在这种负外部性,所以公共资源往往被过度使用。政府可以通过管制或税收的方法来减少公共资源的消耗,从而解决这个问题。此外,政府有时也可以把公共资源变为私人物品。
有效率的税制
税收扭曲了人们做出的决策,从而引起了无谓损失。纳税人爱遵照税法纳税时需要承担的管理负担。一种有效率的税制是所引起的无谓损失和管理负担很小的税制。
税收的相关概念
平均税率:支付的总税收除以总收入
边际税率:增加1美元收入所支付的额外税收
定额税:对每个人等量征收的税收
受益原则:认为人们应该根据他们从政府服务中得到的收益来纳税的思想
支付能力原则:认为应该根据一个人可以承受的负担来对这个人征税的思想
纵向平等:主张支付能力更强的纳税人应该缴纳更多的税收的思想
横向品等:主张有相似支付能力的纳税人应该缴纳等量税收的思想
比例税:高收入纳税人和低收入纳税人缴纳收入中相同比例的税收
累退税:高收入纳税人缴纳的税收在收入中所占的比例低于低收入纳税人的这一比例
累进税:高收入纳税人缴纳的税收在收入中所占的比例高于低收入纳税人的这一比例
税收归宿:最终承担税收负担的那一方
市场竞争/市场势力
如果每个买者和卖者与市场规模相比都微不足道,从而没有什么能力影响市场价格,那么该市场就是竞争性的。如果一个企业可以影响它出售的物品的市场价格,就说该企业有市场势力。
竞争市场
有许多交易相同产品的买者和卖者,以至于每一个买者与卖者都是价格接受者的市场。
特征:1.市场上有许多卖者和卖者 2.各个卖者提供的物品大体上是相同的 3.企业可以自由的进入或者退出市场
总收益、平均收益、边际收益
总收益=销售价格*销售量(企业出售其产品所得到的货币量)
总成本:企业用于生产的投入品的市场价值
显性成本:需要企业支出货币的投入成本
隐形成本:不需要企业支出货币的投入成本
经济利润:总收益减总成本,包括显性成本和隐形成本
会计利润:总收益减总显性成本
生产函数:用于生产一种物品的投入量与该物品产量之间的关系
边际产量:增加一单位投入所带来的产量增加
边际产量递减:一种投入的边际产量随着投入量增加而减少的特征
固定成本:不随着产量变动而变动的成本。比如说产房的租金
可变成本:随着产量变动而变动的成本。比如说原料,产量越高,原料需要就越多
平均总成本:总成本除以产量
平均固定成本:固定成本除以产量
平均可变成本:可变成本除以产量
边际成本:额外一单位产量所引起的总成本的变动
有效规模:使平均总成本最小的产量
平均收益=总收益/销售量
边际收益=增加一单位销售量引起的总收益变动
总成本和边际成本
如果总成本在所生产的所有单位中平均分摊,那么平均总成本告诉我们生产普通一单位产品的成本。边际成本告诉我们多生产一单位产品引起的总成本增加。
U形平均总成本
平均总成本是平均固定成本与平均可变成本之和。平均固定成本总是随着产量的增加而下降,因为固定成本被分摊到更多单位的产品上。而由于边际产量递减,平均可变成本一般随着产量增加而增加。
边际成本和平均总成本之间的关系
只要边际成本小于平均总成本,那么平均总成本就下降,只要边际成本大于平均总成本,那么平均总成本就上升。
平均总成本就像你的累积平均绩点,边际成本就像你下一门课将获得的绩点。如果你下一门课的成绩小于你的平均绩点,那么你的平均绩点就下降。如果你下一门课的成绩高于你的平均绩点,那么你的平均绩点就上升。
边际成本曲线和平均总成本曲线在平均总成本曲线的最低点处相交。
三个重要特征
- 随着产量增加,边际成本最终会上升
- 平均总成本曲线是U形的
- 边际成本曲线与平均总成本曲线在平均总成本曲线的最低点处相交
规模经济和规模不经济
规模经济:长期平均总成本随产量增加而减少的特性
规模不经济:长期平均总成本随产量增加而增加的特性
规模收益不变:长期平均总成本在产量变动时保持不变的特性
专业化
一个努力去做每一件事的人通常会以什么都做不好而告终。如果一个企业想使自己工人的生产率尽可能地高,那么一般最好是让他们每个人都从事自己所精通的有限工作。但只有在一个企业雇佣了大量工人并生产大量产品时,这种工作的组织方式才是可能的。
利润最大化的一般性规律
- 如果边际收益大于边际成本,那么企业应该增加其产量
- 如果边际成本大于边际收益,那么企业应该减少其产量
- 在利润最大化的产量水平时,边际收益和边际成本正好相等
竞争企业的供给曲线
由于企业的边际成本曲线决定了企业在任何一种价格时愿意供给的物品数量,因此,边际成本曲线也是竞争企业的供给曲线。
停止营业规则
如果总收益小于可变成本,停止营业
如果平均收益小于平均可变成本,停止营业
如果价格小于平均可变成本,停止营业
竞争企业的短期供给曲线是边际成本曲线位于平均可变成本曲线之上的那一部分,如果在短期内,价格大于平均可变成本,那么企业在边际成本曲线上生产,如果价格小于平均可变成本,企业则停止营业
沉没成本
已经发生而且无法收回的成本
长期退出决策
如果从生产中的得到的收益小于它的总成本,那么企业就应该退出市场
如果平均收益小于平均总成本,就应该退出市场
如果价格小于平均总成本,就应该退出市场
竞争企业的长期供给曲线是边际成本曲线位于平均总成本曲线之上的那一部分
利润为零
在这种进入和退出过程结束时,仍然留在市场中的企业的经济利润必定为零。
利润=(价格-平均总成本)*销售量
只有当价格和平均总成本被推向相等时,进入与退出过程才结束。
竞争企业通过选择使价格等于边际成本的产量来使利润最大化。自由进入与退出的力量驱使价格等于平均总成本。所以边际成本要等于平均总成本,只有当企业是在平均总成本最低点运营时,边际成本和平均总成本才相等,平均总成本最低的生产水平被称为企业的有效规模。因此,在可以自由进入与退出的竞争市场的长期均衡中,企业一定是在其有效规模上运营。
利润为零为何不退出市场
利润为零是从经济学家的角度来衡量的,包含隐性成本。因此,在零利润均衡时,经济利润是零,但会计利润是正的。
垄断企业
作为一种没有相近替代品的产品的唯一卖者的企业。产生的基本原因是进入壁垒:垄断企业能在其市场上保持唯一卖者的地位,是因为其他企业不能进入该市场并与之竞争。三个最最主要的形成原因是:
- 垄断资源:生产所需要的关键资源由单个企业所拥有
- 政府管制:政府给予单个企业排他性的生产某种物品或服务的权利
- 生产流程:某个企业能以低于大多数企业的成本生产产品
自然垄断
由于一个企业能以低于两个或更多企业的成本向整个市场供给一种物品或服务而产生的垄断
垄断企业增加销售量对总收益的影响
产量效应:销售的数量增多了,从而可能增加总收益
价格效应:价格下降了,从而可能减少总收益
垄断企业利润最大化
垄断企业的利润最大化产量是由边际收益曲线与边际成本曲线的交点决定的
竞争与垄断企业之间的关键差别
在竞争市场上,价格等于边际成本;在垄断市场上,价格大于边际成本。
垄断带来的无谓损失
由于需求曲线反映了消费者对物品的评价,边际成本曲线反应垄断生产者的成本,所以需求曲线和边际成本曲线之间的无谓损失三角形面积等于垄断定价引起的总剩余损失。垄断引起的无谓损失类似于税收引起的无谓损失。
价格歧视
以不同价格向不同顾客出售同一种物品的经营做法
不完全竞争
很多行业介于完全竞争和垄断这两种极端情况之间的某个位置
寡头
只有少数几个提供相似或相同产品卖者的市场结构
垄断竞争
存在许多出售相似但不相同产品的企业的市场结构,具有以下特征:
- 许多卖者:有许多企业争夺相同的顾客群体
- 产品存在差异:每个企业生产的产品至少与其他企业生产的这种产品略有不同。因此每个企业都不是价格接受者,而是面临一条向右下方倾斜的需求曲线。
- 自由进入和退出:企业可以无限制地进入或退出一个市场。因此,市场上企业的数量要一直调整到经济利润为零时为止。
市场结构的四种类型
如果只有一家企业,那么该市场就是垄断的。如果只有几家企业,那么该市场就是寡头。如果有许多企业,如果这些企业出售相同的产品,那么该市场就是完全竞争的;如果这些企业出售有差异的产品,那么该市场就是垄断竞争的。
垄断竞争市场上长期均衡的两个特点
- 正如在垄断市场上一样,价格大于边际成本。得出这个结论是因为利润最大化要求边际收益等于边际成本,并且同右下方倾斜的需求曲线使边际收益小于价格。
- 正如在竞争市场上一样,价格等于平均总成本。得出这个结论是因为自由进入和退出使经济利润为零。
寡头
只有少数几个卖者提供相似或相同产品的市场结构
博弈论
研究在策略情况下人们如何行为的理论
勾结
一个市场上的企业之间就生产的产量或收取的价格达成的协议
卡特尔
联合起来行事的企业集团
纳什均衡
相互作用的经济主体在假定所有其他主体所选策略为既定的情况下,选择他们自己最有策略的状态
囚徒困境
两个被捕的囚徒之间的一种特殊“博弈”,说明为什么甚至在合作对双方都有利时,保持合作也是困难的
占优策略
无论其他参与者选择什么策略,对一个参与者都为最优的策略
反托拉斯法
反托拉斯法即反垄断法,是国内外经济活动中,用以控制垄断活动的立法、行政规章、司法判例以及国际条约的总称。
生产要素
用于生产物品与服务的投入。劳动、土地和资本是三种最重要的生产要素。
资本
用于生产物品与服务的设备和建筑物
边际产量值
一种投入的边际产量乘以该产品的价格
补偿性工资差别
为抵消不同工作的非货币特性而产生的工资差别
效率工资
企业为了提高工人的生产率而支付的高于均衡工资的工资
歧视
对仅仅是种族、民族、性别、年龄或其他个人特征不同的相似个人提供不同的机会
边际替代率
消费者愿意以一种物品交换另一种物品的比率
收入效应
当价格的某种变动使消费者移动到更高或更低无差异曲线时所引起的消费变动
替代效应
当价格的某种变动使消费者沿着一条既定的无差异曲线变动到有新边际替代率的一点时所引起的消费变动
完美投票制度特征
- 确定性:如果每个人对A的偏好都大于B,那么A就击败了B
- 传递性:如果A击败了B,B击败了C,那么A一定击败C
- 不相关选择的独立性:任何两个结果A和B之间的排序不应该取决于是否还存在某个第三种结果C
- 没有独裁者:没有一个人总能获胜,而无论其他人的偏好如何
阿罗不可能性定理
一个数学结论,它表明在某些假设条件之下,没有一种方案能把个人偏好加总为一组有效的社会偏好。因此不存在一种完美的投票制度。

浙公网安备 33010602011771号